4
Total Mentions
4
Documents
25
Connected Entities
Location referenced in documents
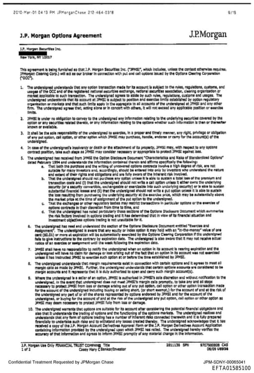
EFTA01585100
f risk, are not ha» for mint aware and, acco'dtngly, should be entered Into only by Investors who underatend the *we and extent of cheer rights and Magary, arid ere risly aware of Me Inhirent risk Irmo:Yeti. b. Me undered should not pus chew my option online h bit.* to susciiin a toter lop or the pm*"
EFTA01275697_sub_002 - EFTA01275697_190
ce aka alinalan teary A you can why you Mere C is as error a My you need mere. ~man - Pane he dollar anum of he snared wet The FialaCad roux veil Magary aptint ad ash COrteet WI error prowptly Mom tie al aecks pays, to the Feint tie fincial ost rums ndeated onto front of this stank hadde ter to
EFTA01682184_sub_002 - EFTA01682184_186
Brooks, Sandra Brown, Asim Brown, Florence Brown. Robin Brown, Sophie Browne, Pam Buck, Amy Burro, Robert Bums, Barbara Burton, John Cano, Magary Caracuzzo, Cheryl Carmack, Cherie Cam, Terrence Castor, Frank Caullneau•Kraft, Dlahan Chavers, Sabrina Chubinsky, Matthew Chupp, Emilie Ciuf
EFTA01272870_sub_001 - EFTA01272870_100
ine Tal us Vie donate Pia o the Saaastoe ara 3. Desoto* tlx ecru a Tor llamas ycei are true nit and opts., as (MO is you an aky you tele* I IS In Magary stn we roe inkns.tos Weed littettigille y04 COTivitiet ald M WW1 Try Wier parent Vex Wish ;SSW Ce by srae, we nt. lhat you send us rw =root r earn

Condoleezza Rice
PersonAmerican diplomat and political scientist (born 1954)

Ghislaine Maxwell
PersonBritish socialite and sex trafficker, daughter of Robert Maxwell, accomplice of Jeffrey Epstein

Mao Zedong
Person1st chairman of the Chinese Communist Party and founder of the People's Republic of China (1893–1976)

Marc Rich
PersonAmerican commodities trader (1934–2013)

New York City
LocationMost populous city in the United States
Doug Band
PersonAmerican presidential advisor

Kenneth Marra
PersonAmerican judge

Jane Fonda
PersonAmerican actress and activist
Serena
PersonAmbiguous first name - Serena Boardman, Serena Cole, Serena Barton-Zainyeh

Al Gore
PersonVice President of the United States from 1993 to 2001 (born 1948)
Courtney Wild
PersonAmerican victim/survivor of Jeffrey Epstein who led legal battle for victims' rights

Sergey Brin
PersonAmerican billionaire businessman (born 1973)

Xi Jinping
PersonGeneral Secretary of the Chinese Communist Party since 2012

Joe Biden
Person46th President of the United States (2021–2025)

Paul Ryan
PersonSpeaker of the United States House of Representatives from 2015 to 2019

Ralph Lauren
PersonAmerican fashion designer (born 1939)

Joi Ito
PersonJapanese-American activist, entrepreneur, and venture capitalist

Haiti
LocationCountry in the Caribbean Sea

Vance
PersonSurname reference in Epstein-related documents

Acton
PersonAmbiguous name reference in Epstein documents, could be Brian Acton (WhatsApp) or Lord Acton historical reference