
2
Total Mentions
2
Documents
790
Connected Entities
Researcher ORCID ID = 0000-0001-6410-2899
HOUSE_OVERSIGHT_010486 - HOUSE_OVERSIGHT_010559
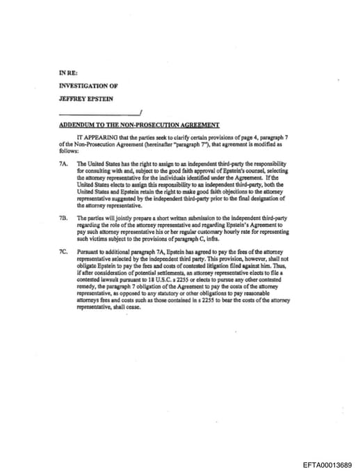
ith of rape and kept Rush Limbaugh out of prison for his alleged illegal drug use—and Jay Lefkowitz, a defense attorney who'd worked with US attorney R. Alexander Acosta at Ken Starr's law firm. And so in September, the US attorney's office reached a for- mal agreement with Epstein’s team: the United States wo
Page: HOUSE_OVERSIGHT_010529 →e available to have him enter his plea on November 20. So we will plan to proceed on one that date.” October 18, 2007 email from Jay Lefkowitz to USA R. Alexander Acosta. ° On the same day, Mr. Lefkowitz confirmed with First Assistant Jeffrey H. Sloman that this postponement “ will not affect when Epstein begin
Page: HOUSE_OVERSIGHT_012200 →
Sarah Kellen
Person
George W. Bush
PersonPresident of the United States from 2001 to 2009
Gerald Lefcourt
PersonAmerican lawyer

Florida
LocationState of the United States of America

Pagan
PersonFamily name

Ken Starr
PersonAmerican judge and educational administrator (1946–2022)

Alexander Acosta
PersonAmerican attorney and politician
Haley Robson
PersonMarc Rich
PersonAmerican commodities trader (1934–2013)

Prince Andrew
PersonThird child of Queen Elizabeth II and Prince Philip, Duke of Edinburgh (born 1960)

Jane Doe
Person
Ghislaine Maxwell
PersonBritish socialite and sex trafficker, daughter of Robert Maxwell, accomplice of Jeffrey Epstein
LANNA BELOHKLAVEK
Person
Joe Recarey
Person
Nadia Marcinkova
PersonCommercial pilot and flying instructor

The Palm Beach Post
OrganizationDaily newspaper in West Palm Beach, Florida

Palm Beach Police Department
OrganizationPolice agency

Palm Beach
LocationTown in Palm Beach County, Florida, United States

Jack Goldberger
PersonFamily name

John F. Kennedy
PersonPresident of the United States from 1961 to 1963 (1917–1963)