61
Total Mentions
61
Documents
59
Connected Entities
Person referenced in documents
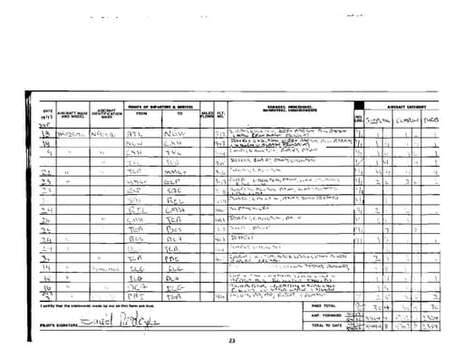
Brent Tindall appears exclusively in Jeffrey Epstein's flight manifests from 2003-2004, listed as a passenger on 54 flights over a 14-month period. The documents show him traveling frequently on Epstein's private aircraft alongside Sarah Kellen, Nadia Marcinkova, and other Epstein associates.
Tindall's name appears solely in flight manifest records spanning from November 2003 through July 2004. He traveled extensively during this period, with flights documented across nearly every month. The manifests show him flying alongside known Epstein associates including Sarah Kellen (33 shared flights), Nadia Marcinkova (21 flights), and pilot Larry Visoski (17 flights). His frequent presence during this concentrated timeframe suggests he was part of Epstein's regular travel circle during 2003-2004.
Brent Tindall
Brent Tindall
Brent Tindall
Brent Tindall
Brent Tindall
Brent Tindall
Brent Tindall
Brent Tindall
Brent Tindall
Brent Tindall
Brent Tindall
Brent Tindall
Brent Tindall
Brent Tindall
Brent Tindall
Brent Tindall
Brent Tindall
Brent Tindall
Brent Tindall
Brent Tindall

Jeffrey Epstein
PersonAmerican sex offender and financier (1953–2019)
Palm Beach, FL, United States
LocationCity in Palm Beach County, Florida

Sarah Kellen
PersonAmerican assistant to Jeffrey Epstein, named as unindicted co-conspirator in 2008 non-prosecution agreement
Teterboro, NJ, United States
LocationBorough in Bergen County, New Jersey
Nadia Marcinkova
PersonCommercial pilot and flying instructor
Larry Visoski
PersonAmerican pilot who worked for Jeffrey Epstein from 1991-2019, testified as key witness in Ghislaine Maxwell trial
New York JFK, NY, United States
LocationAirport reference for New York JFK

Ghislaine Maxwell
PersonBritish socialite and sex trafficker, daughter of Robert Maxwell, accomplice of Jeffrey Epstein
Teala Davies
PersonAcclaimed Epstein victim and witness, testified in Maxwell trial
Charlotte Amalie, St. Thomas, United States Virgin Islands
LocationTown in St. Thomas, U.S. Virgin Islands
Larry Morrison
PersonPerson referenced in documents
Andrea Mitrovich
PersonPerson referenced in documents
Susan Hamblin
PersonPerson referenced in documents

Jean-Luc Brunel
PersonFrench model scout (1946–2022)
Cindy Lopez
PersonPerson referenced in documents

David Rodgers
PersonJeffrey Epstein's chief pilot (1991-2019), maintained flight logs documenting passengers on Epstein's private jets

Prince Andrew
PersonThird child of Queen Elizabeth II and Prince Philip, Duke of Edinburgh (born 1960)

Jes Staley
PersonAmerican banker, chief executive officer of Barclays
Gary Roxburgh
PersonPerson referenced in documents
Barry Massion
PersonPerson referenced in documents