70
Total Mentions
64
Documents
61
Connected Entities
Person referenced in documents
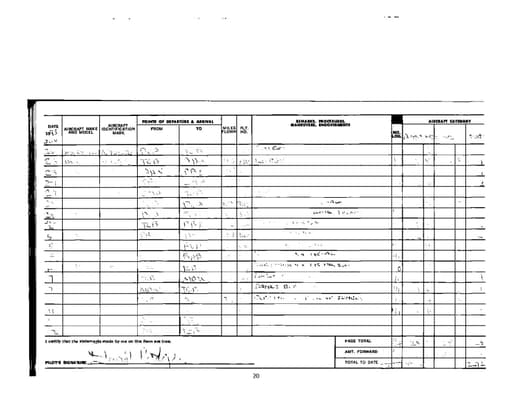
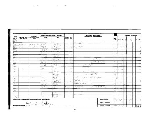
Andrea Mitrovich appears in 64 flight manifests spanning from 2003 to 2005, primarily traveling on Jeffrey Epstein's private aircraft alongside other frequent associates like Sarah Kellen and Ghislaine Maxwell.
Mitrovich appears exclusively as a passenger listed on flight manifests from Epstein's aircraft, with no emails or court documents in the available records. The flights concentrate in two main periods: a busy November 2003 cluster (11 flights between November 4-14) and scattered flights through 2004-2005. She frequently traveled with Sarah Kellen (48 shared documents) and Ghislaine Maxwell (28 shared documents), and occasionally with Bill Clinton and Doug Band (14 shared documents each), suggesting she was part of Epstein's regular travel circle during this period.
ANDREA MITROVICH
Andrea Mitrovich
ANDREA MITROVICH
Andrea Mitrovich
ANDREA MITROVICH
Andrea Mitrovich
ANDREA MITROVICH
Andrea Mitrovich
ANDREA MITROVICH
Andrea Mitrovich
ANDREA MITROVICH
Andrea Mitrovich
Andrea Mitrovich
Andrea Mitrovich
Andrea Mitrovich
Andrea Mitrovich
Andrea Mitrovich
Andrea Mitrovich
Andrea Mitrovich
Andrea Mitrovich
Andrea Mitrovich
Andrea Mitrovich
Andrea Mitrovich
Andrea Mitrovich
Andrea Mitrovich
Andrea Mitrovich

Jeffrey Epstein
PersonAmerican sex offender and financier (1953–2019)

Sarah Kellen
PersonAmerican assistant to Jeffrey Epstein, named as unindicted co-conspirator in 2008 non-prosecution agreement

Ghislaine Maxwell
PersonBritish socialite and sex trafficker, daughter of Robert Maxwell, accomplice of Jeffrey Epstein
Palm Beach, FL, United States
LocationCity in Palm Beach County, Florida
Teterboro, NJ, United States
LocationBorough in Bergen County, New Jersey

Bill Clinton
PersonPresident of the United States from 1993 to 2001 (born 1946)
Brent Tindall
PersonPerson referenced in documents
Doug Band
PersonAmerican presidential advisor
Charlotte Amalie, St. Thomas, United States Virgin Islands
LocationTown in St. Thomas, U.S. Virgin Islands
New York JFK, NY, United States
LocationAirport reference for New York JFK
Cindy Lopez
PersonPerson referenced in documents
Eric Nonacs
PersonPerson referenced in documents
Laura Wasserman
PersonPerson referenced in documents

Kevin Spacey
PersonAmerican actor (born 1959)

Chris Tucker
PersonAmerican actor and comedian

Casey Wasserman
PersonAmerican businessman

David Slang
PersonPerson referenced in documents
Rodey Swater
PersonPerson referenced in documents
Jim Kennez
PersonPerson referenced in documents
Rodney Slater
PersonBritish musician