153
Total Mentions
150
Documents
62
Connected Entities
Airport reference for New York JFK
New York's JFK airport appears frequently in flight manifests related to Jeffrey Epstein, suggesting it was a common point of arrival or departure for his travels.
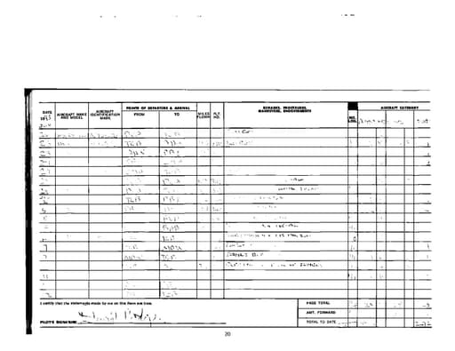
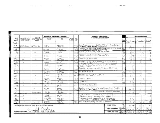
The documents list 'New York JFK, NY, United States' as a location in numerous flight manifests, particularly between 2004 and 2007, with connections to Jeffrey Epstein, Sarah Kellen, Larry Visoski, and Larry Morrison. These flight logs represent direct evidence of travel to or from the airport. However, the manifests only indicate the airport's presence in the flight itinerary and do not provide further details on the nature of the trips or the individuals involved.

Perversion of Justice: The Jeffrey Epstein Story
Julie K. Brown
Investigative journalism that broke the Epstein case open

Filthy Rich: The Jeffrey Epstein Story
James Patterson
Bestselling account of Epstein's crimes and network

Relentless Pursuit: My Fight for the Victims of Jeffrey Epstein
Bradley J. Edwards
Victims' attorney's firsthand account
New York JFK, NY, United States
New York JFK, NY, United States
New York JFK, NY, United States
New York JFK, NY, United States
New York JFK, NY, United States
New York JFK, NY, United States
New York JFK, NY, United States
New York JFK, NY, United States
New York JFK, NY, United States
New York JFK, NY, United States
New York JFK, NY, United States
New York JFK, NY, United States
New York JFK, NY, United States
New York JFK, NY, United States
New York JFK, NY, United States
New York JFK, NY, United States
New York JFK, NY, United States
New York JFK, NY, United States
New York JFK, NY, United States
New York JFK, NY, United States
New York JFK, NY, United States
New York JFK, NY, United States
New York JFK, NY, United States

Jeffrey Epstein
PersonAmerican sex offender and financier (1953–2019)

Sarah Kellen
PersonAmerican assistant to Jeffrey Epstein, named as unindicted co-conspirator in 2008 non-prosecution agreement
Palm Beach, FL, United States
LocationCity in Palm Beach County, Florida
Larry Visoski
PersonAmerican pilot who worked for Jeffrey Epstein from 1991-2019, testified as key witness in Ghislaine Maxwell trial
Larry Morrison
PersonPerson referenced in documents
Nadia Marcinkova
PersonCommercial pilot and flying instructor

Ghislaine Maxwell
PersonBritish socialite and sex trafficker, daughter of Robert Maxwell, accomplice of Jeffrey Epstein
Charlotte Amalie, St. Thomas, United States Virgin Islands
LocationTown in St. Thomas, U.S. Virgin Islands
Brent Tindall
PersonPerson referenced in documents
Teala Davies
PersonAcclaimed Epstein victim and witness, testified in Maxwell trial

David Mullen
PersonAmerican musician
Andrea Mitrovich
PersonPerson referenced in documents
Cindy Lopez
PersonPerson referenced in documents
Paris Le Bourget, France
LocationAirport in Paris Le Bourget, France

Jean-Luc Brunel
PersonFrench model scout (1946–2022)
Michael Liffman
PersonPerson referenced in documents
Dana Burns
PersonCollege basketball player (2005–2005) Hampton
Bill Hammond
PersonPerson referenced in documents
Doug Band
PersonAmerican presidential advisor

Bill Clinton
PersonPresident of the United States from 1993 to 2001 (born 1946)