37
Total Mentions
36
Documents
22
Connected Entities
Person referenced in documents
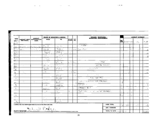
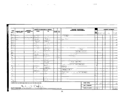
Susan Hamblin's name appears on multiple flight manifests associated with Jeffrey Epstein between 2003 and 2004, indicating she traveled on his planes. She won a libel case against The Sun, who falsely linked her to the Jeffrey Epstein case.
Susan Hamblin's appearances are primarily within flight manifests from 2003-2004. These documents suggest a direct connection to Epstein through travel. It's important to note that she successfully sued The Sun for libel after they falsely associated her with the allegations against Epstein.
SUSAN HAMBLIN
Susan Hamblin
Susan Hamblin
Susan Hamblin
Susan Hamblin
Susan Hamblin
Susan Hamblin
Susan Hamblin
Susan Hamblin
Susan Hamblin
Susan Hamblin
Susan Hamblin
EFTA01282018
acknowledged instrument delivered to the Grantor; DARREN K. INDYKE and RICHARD KAHN are the current acting trustees of the Trust and desire to add Susan Hamblin as a beneficiary under Article Third of the Trust Agreement; NOW, THEREFORE, pursuant to the authority conferred upon them under Article Third, Par
EFTA00407528
From: "[email protected]" To: Lesley Groff <[email protected]> Cc: Jeffrey Epstein <*eevacation a ail.com>, Susan Hamblin , Sarah Kensin on , Bella Klein , Brice and karen Subject: Re: Travel arrangements for traveling on 08/07/2012 Date: Wed, 01 Aug 2012 16:59:13
EFTA00433999
d: please destroy all electronic and paper copies and notify the sender immediately. From: Jenni Hassett Date: Thu, S May 2011 12:26:33 -0400 To: Susan Hamblin <[email protected]> " Subject: Re: Meeting with Jeffrey & Kevin Tues 5.3 Him & Susan- I would love to reschedule the mtg with Jeffrey and Ke
EFTA00469507
From: Susan Hamblin <[email protected]> To: Karyna Shuliak cz. > Cc: Lesley Subject: Re: Happy Valentine's Day From Jeffrey! :) Date: Wed, 14 Feb 2018 20:34:00
EFTA00535174
Date: Wed, Aug I, 2012 at 12:21 PM Subject: Fwd: Travel arrangements for traveling on 08/07/2012 To: Jeffrey Epstein <[email protected]> Cc: Susan Hamblin <[email protected]>, Sarah Kensington <[email protected]>, Bella Klein <[email protected]>, Karen Gordon <[email protected]>, Brice and kare
EFTA00561695
From: Sarah K <[email protected]> To: Susan Hamblin <[email protected]> Subject: Re: E-Ticket Confirmation-BAAEGH 27APR Date: Tue, 26 Apr 2011 18:31:06 +0000 Perfect. Thank you miss sue. You a
EFTA01971635
To: Jeffrey Epstein Cc: Karyna Shuliak From: Susan Hamblin Sent Fri 6/7/2013 2:47:58 PM Subject: Fwd: Birds pagesi4.429 capes 4.iDq cacies3.ioq paggaigg Caoes.irgi cape 5.ioq lerr at lenmjgg cat2.
EFTA01977244
To: [email protected][[email protected]] From: Susan Hamblin Sent: Sat 12/1/2012 8:31:42 PM Subject: Paris Guest toilet next to gym Little bubbles in the paint on the wall EFTA_R1_00463733 EFTA01977244
EFTA01832366
? Thx Larry Sent via BlackBerry by AT&T From: Jeffrey Epstein <jeevacationAgmail.com> Date: Wed 29 Dec 2010 18:43:37 -0400 To: het Gordon Cc: Susan Hamblin Subject: wheels up tomorrow at 330.. heli at 3. *********************************************************** The information contained in this com

Jeffrey Epstein
PersonAmerican sex offender and financier (1953–2019)

Sarah Kellen
PersonAmerican assistant to Jeffrey Epstein, named as unindicted co-conspirator in 2008 non-prosecution agreement
Palm Beach, FL, United States
LocationCity in Palm Beach County, Florida
Brent Tindall
PersonPerson referenced in documents
Nadia Marcinkova
PersonCommercial pilot and flying instructor
Teterboro, NJ, United States
LocationBorough in Bergen County, New Jersey

Ghislaine Maxwell
PersonBritish socialite and sex trafficker, daughter of Robert Maxwell, accomplice of Jeffrey Epstein
Charlotte Amalie, St. Thomas, United States Virgin Islands
LocationTown in St. Thomas, U.S. Virgin Islands
New York JFK, NY, United States
LocationAirport reference for New York JFK

John F. Kennedy
PersonPresident of the United States from 1961 to 1963 (1917–1963)
Larry Visoski
PersonAmerican pilot who worked for Jeffrey Epstein from 1991-2019, testified as key witness in Ghislaine Maxwell trial

Lesley Groff
PersonExecutive assistant to Jeffrey Epstein (2001-2019)
Larry Morrison
PersonPerson referenced in documents

Karyna Shuliak
PersonBelarusian dentist, Jeffrey Epstein's girlfriend and named heir to his estate

American Airlines
OrganizationMajor airline of the United States
Travisa Visa Service
OrganizationVisa expediting service

Richard Kahn
PersonJeffrey Epstein's accountant and estate co-executor (2005-present)

Condoleezza Rice
PersonAmerican diplomat and political scientist (born 1954)

Bella Klein
PersonAmerican accountant and assistant to Jeffrey Epstein

David Mullen
PersonAmerican musician