5
Total Mentions
5
Documents
11
Connected Entities
Person referenced in documents
EFTA01362461
irement.) — Have attached the no material confirmation received by you for your reference, however we need more info as per the rejection point. 3. Andrew Gallivan's approval is not dated on the KYC. — Please advise Andrew Gallivan to input the approval date in the case. a. 5. The nature of business narrative f
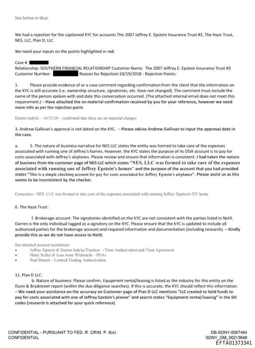
EFTA01373341
for your reference, however we need more info as per the rejection point. Darren indyke - PE22/18 confirmed that there are no material changes 3. Andrew Gallivan's approval is not dated on the KYC. — Please advise Andrew Gallivan to input the approval date in the case. a. 5. The nature of business narrative f
EFTA01384788
rement.) — Have attached the no material confirmation received by you for your reference, however we need more info as per the rejection point. 3. Andrew Gallivan's approval is not dated on the KYC. — Please advise Andrew Gallivan to input the approval date in the case. a. <!--(if !supportlistsj--><!--(endifj-
EFTA01379623
3. Andrew Gallivan's approval is not dated on the KYC. — Please advise Andrew Gallivan to input the approval date in the case. a. 5. The nature of business narrative f
EFTA01387935
for your reference, however we need more info as per the rejection point. Darren Indyke - 10/22/IS confirmed that Mere are no material changes 3. Andrew Gallivan's approval is not dated on the KYC. — Please advise Andrew Gallivan to input the approval date in the case. a. 5. The nature of business narrative f

Jeffrey Epstein
PersonAmerican sex offender and financier (1953–2019)
NES LLC
OrganizationLimited liability company referenced in documents

Prince Andrew
PersonThird child of Queen Elizabeth II and Prince Philip, Duke of Edinburgh (born 1960)
The Haze Trust
OrganizationOrganization referenced in documents
Darren Indyke
PersonAmerican lawyer, longtime personal attorney and co-executor of Jeffrey Epstein's estate
Jeffrey E. Epstein Insurance Trust
PersonPerson referenced in documents
Alka Babu
PersonPerson referenced in documents
Vinita Advani
PersonPerson referenced in documents
Dunn & Bradstreet
OrganizationOrganization referenced in documents

Martha Stewart
PersonAmerican businesswoman, writer, TV personality (born 1941)
Bradley Gillin
PersonIndividual referenced in Epstein documents