15
Total Mentions
15
Documents
21
Connected Entities
Organization referenced in documents
EFTA01382609
result in an adverse effect on our business, operating results, and financial condition. For potential clients of our Global Business Solutions and Global Financial Solutions segments, switching from one vendor of core processing or related software and services (or from an internally-developed system) to a new vendor is
EFTA01382610
e bank industry. Bank industry consolidation affects existing and potential clients in our service areas, primarily in Global Business Solutions and Global Financial Solutions. Our alliance strategy could also be negatively affected by consolidations, especially where the banks involved are committed to their internal merc
EFTA01382636
atives, such as the introduction of several new products and expansion of our sales force. in an effort to grow this business versus prior periods. Global Financial Solutions Our GFS revenues are primarily derived from credit and retail card processing services, output, loyalty and software services provided to financial
EFTA01382638
umber of factors that impact our business, results of operations and financial condition. In general, revenues across our Global Business Solutions. Global Financial Solutions and Network & Security Solutions segments are impacted by factors such as global economic and consumer spending trends, foreign exchange rates. geop
EFTA01382648
S- I/A Table of Content" Segment Results We classify our businc es into three segments: Global Business Solutions, Global Financial Solutions, and Network & Security Solutions. Our Corporate operations (as described below) are not discussed separately as any results that had a significant
EFTA01382668
olutions, and our cloud-based Clover point-of-sale operating system, which includes a marketplace for proprietary and third-party business apps. • Global Financial Solutions (GFS) — This segment provides credit solutions for bank and non-bank issuers. These include credit and retail private-label card processing within t
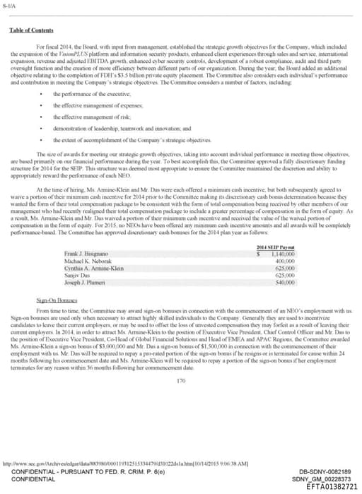
EFTA01382721
. Armin-Klein to the position of Executive Vice President, Chief Control Officer and Mr. Das to the position of Executive Vice President, Co-Head of Global Financial Solutions and Head of EMEA and APAC Regions, the Committee awarded Ms. Amine-Klein a sign-on bonus of $3,000,000 and Mr. Das a sign-on bonus of $1,500.000 in
EFTA01382817
ostage. and other 3,604 3,507 3362 Total revenues $11.152 $10.809 $1 0480 Segment EBITDA: Global Business Solutions 5 1.687 1644 S 1.606 Global Financial Solutions 529 404 370 Network & Security Solutions 608 549 585 Total reported segments 2,824 2.597 2,561 Corporate (161) (148) (125) Adjusted E
EFTA01382815
n assessing performance. First Data's CODM is its Chief Executive Officer. The Company is organized into three segments: Global Business Solutions, Global Financial Solutions, and Network & Security Solutions. The presentation of the 2014, 2013 and 2012 consolidated statements of operations have been revised to classify $
EFTA01382838
r of 2015. the Company realigned its operating segments for financial reporting purposes into three reportable segments: Global 13usiness Solutions, Global Financial Solutions, and Network & Security Solutions. Following the realignment, the Company retroactively adjusted all segment related disclosures included within the
EFTA01382686
' needs through professional services. Summary of GFS Solutions The following table provides additional detail of select solutions provided by our Global Financial Solutions segment that enable financial institutions to do business with their customers. Category Smite Processing Credit and Solutions Retail Private
EFTA01382696
the Unite! States, In 2014, STAR processed 3.6 billion transactions. The network serves our clients separately from ow Global Business Solutions and Global Financial Solutions segments and often facilitates transactions that are routed by our merchant acquiring competitors. In Canada, we serve similar types of clients and
EFTA01382712
e Vice President, Chief Control Officer Executive Vice President. Head of Global Business Solutions President Executive Vice President, Co-Head of Global Financial Solutions and Head of EMEA and APAC Regions 57 Executive Vice President, Head of Corporate and Business Development 44 Executive Vice President, Co-Head o
EFTA01382714
1999, where he serves on the Finance Committee and as Chairman of the Audit Committee. Andrew Gelb has been our Executive Vice President, Co-Head of Global Financial Solutions since June 2015. He joined us in November 2014 as Executive Vice President and Head of Financial Services. Previously, Mr. Gelb spent 17 years at Ci
EFTA01382711
ns are conducted in New York: Coral Springs, Florida; I lagerstown. Maryland; London: Sao Paulo: and Marietta. Georgia. The principal operations for Global Financial Solutions are located in Omaha, Nebraska: Chesapeake. Virginia; Wilmington, Delaware: and Maitland. Florida. Our principal international operations are locate
Global Business Solutions
OrganizationOrganization referenced in documents
Network & Security Solutions
OrganizationOrganization referenced in documents
gov/Archi
OrganizationOrganization referenced in documents
First Data's
OrganizationOrganization referenced in documents

First Data
OrganizationFinancial services company based in Atlanta
Frank J. Bisignano
PersonPerson referenced in documents
Segment EBITDA
OrganizationOrganization referenced in documents
the Chase Paymentech Solutions
OrganizationOrganization referenced in documents
Joseph J. Plumeri
PersonName reference in documents
Armine-Klein
PersonName reference in documents
Global 13usiness Solutions
OrganizationOrganization referenced in documents
Corporate and Business Development
OrganizationOrganization referenced in documents
Daniel J. Charron
PersonName reference in documents
Guy Chiarello
PersonName reference in documents
Christopher Foskett
PersonName reference in documents

Jeffrey Epstein
PersonAmerican sex offender and financier (1953–2019)
Andrew Gelb
PersonName reference in documents

Prince Andrew
PersonThird child of Queen Elizabeth II and Prince Philip, Duke of Edinburgh (born 1960)

Bank of America
OrganizationAmerican multinational banking and financial services corporation

Citigroup Inc.
OrganizationAmerican investment bank and financial services corporation