8
Total Mentions
8
Documents
14
Connected Entities
Organization referenced in documents
EFTA01357873
ed as a signer. Jeanne is not listed on the corporate Resolution. will Jeanne still sign on the account? If not, please remove. if so, please update Corporate Resolution. To view the KYC click here https:// CONFIDENTIAL - PURSUANT TO FED. R. CRIM. P. 6(e) DB-SDNY-0044800 CONFIDENTIAL SDNY_GM_00190984 EFTA0135787
EFTA01360326
Kirby Sent: 11/12/2013 12:47:13 PM To: Subject: Mort Inc: 00000487266 [I] Classification: For internal use only Hi Janice, I got the updated Corporate Resolution and just resubmitted. Let me know if anything else arises Best, Amanda Kirby Amanda Kirby Associate Deutsche Bar* Trust Company Americas 345 Pa
EFTA01360805
tificate of Limited Partnership — Trading Relationship Authority - Corporate Resolution, etc. If needed, you may also complete the attached blanket Corporate Resolution. This document should be printed on your company letter head, fully executed and returned to us. — 8) An Investment Management Agreement/Investment
EFTA01370534
y for the FinCEN form. Please ensure it was e-mailed by the same person who signed the form (Jeffrey Epstein). — Signature verification done through Corporate Resolution (now attached to case) where Jeffrey's signature matches with that on the COD form. 18) Please provide google searches for the appropriate entities
EFTA01387518
form filled ONLY for corporate trusts. • For NES LLC & Plan D LLC, we require clarification on the authorized signatories to add. As per attached Corporate Resolution, please confirm if ok to add Harry Beller as signatory to this account. • Kindly confirm if ALL DB accounts listed below are to be included in this
EFTA01404299
ited Partnership — EFTA01404299 Trading Relationship Authority - Corporate Resolution, etc. If needed, you may also complete the attached blanket Corporate Resolution. This document should be printed on your company letter head, fully executed and returned to us. — 8) An Investment Management Agreement/Investme
EFTA01464295
tificate of Limited Partnership — Trading Relationship Authority - Corporate Resolution, etc. If needed, you may also complete the attached blanket Corporate Resolution. This document should be printed on your company letter head, fully executed and returned to us. — 8) An Investment Management Agreement/Investme
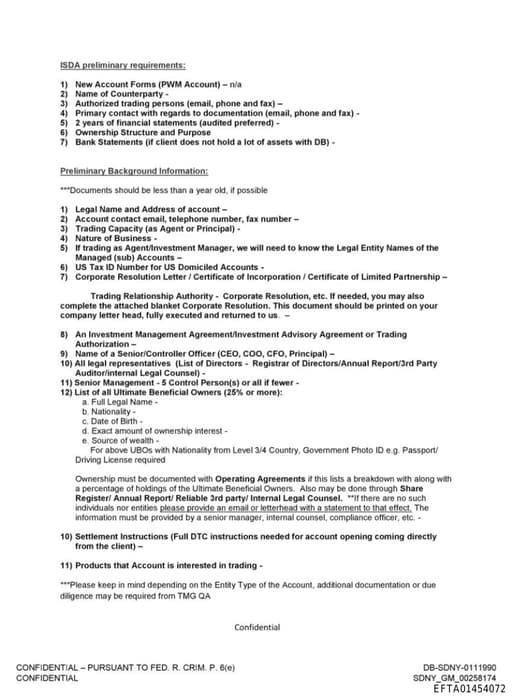
EFTA01454072
tificate of Limited Partnership — Trading Relationship Authority - Corporate Resolution, etc. If needed, you may also complete the attached blanket Corporate Resolution. This document should be printed on your company letter head, fully executed and returned to us. - 8) An Investment Management Agreement/Investment

Jeffrey Epstein
PersonAmerican sex offender and financier (1953–2019)
Agent/Investment Manager
OrganizationOrganization referenced in documents
the Entity Type of the Account
OrganizationOrganization referenced in documents
Ultimate Beneficial Owners
OrganizationOrganization referenced in documents
Vijay Sawant
PersonPerson referenced in documents
Trading Capacity
OrganizationOrganization referenced in documents
Harry Beller
PersonEpstein's financial adviser and accountant, managed wire transfers
US Tax ID
OrganizationOrganization referenced in documents
Report/3rd Party Auditor/internal Legal Counsel
OrganizationOrganization referenced in documents
TMG QA
OrganizationOrganization referenced in documents
8) An Investment Management Agreement/Investment Advisory Agreement
OrganizationOrganization referenced in documents

Financial Trust Company
OrganizationFinancial Trust Company (FTC), Epstein-controlled financial services company that received over $490 million in fees between 1999-2018
List of Directors - Registrar of Directors
OrganizationOrganization referenced in documents
Amanda Kirby
PersonDeutsche Bank Trust Company Americas employee who handled client services for Jeffrey Epstein's accounts in New York