19
Total Mentions
19
Documents
720
Connected Entities
Organization referenced in documents
EFTA00236152
ount Investment Advisory Program UBS Strategic Advisor UBS Strategic Advisor UBS Strategic Advisor UBS Strategic Advisor UBS Strategic Advisor UBS Strategic Advisor Why this is important This Investment Advisory Account package provides you with important information about the program. Please retain th
EFTA00236532
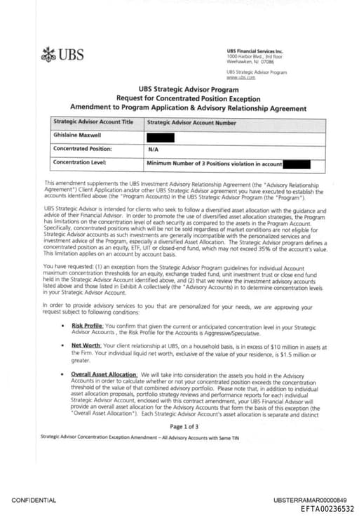
UBS UBS Financial Services Inc. 1000 Harbor Blvd., 3rd floor Weehawken, Ni 07086 UBS Strategic Advisor Program prow ids mai UBS Strategic Advisor Program Request for Concentrated Position Exception Amendment to Program Application & Advisor
EFTA00238428
Account Investment Advisory Program End Date Y1 XXX72 UBS Strategic Advisor 11/29/2016 Y1 XXX68 UBS Strategic Advisor 11/29/2016 Y1 XXX74 UBS Strategic Advisor 11/29/2016 What this means to you We have converted your Investment Advisory program account to a brokerage account. Moving forward, we wi
EFTA00238758
iew is now available. Please disregard the previous communication. What this means to you The attached report includes specific details about your UBS Strategic Advisor account. Please review the report at your convenience. We thank you for your relationship and look forward to continuing to serve your wea
EFTA00238755
ttached Your UBS Strategic Advisor Annual Review is now available. What this means to you The attached report includes specific details about your UBS Strategic Advisor account. Please review the report at your convenience. Why this is important The attached report provides information about your account.
EFTA01273308_sub_001 - EFTA01273308_100
st In, First Out CNP7C0CA)006498898NN0C0298141 000O2 OM 4 030575004 Yt235686501tytrhyoncoodesten of 102 CONFIDENTIAL EFTA_00131168 EFTA01273375 UBS Strategic Advisor *UBS lure 2014 Your assets Account name: GH1SLAINE MAXWELL Friendly account name:Ind Account number. Some income and current 'MOPS S
EFTA01273308_sub_002 - EFTA01273308_200
MAMLYLE CASIVEL 047C00930782954 NPMC0I99I 56 00032081 4030575064 Y123568550 IOSIMYGM00026,19 12 of 90 CONFIDENTIAL EFTA_00 I3 1208 EFTA01273415 UBS Strategic Advisor *UBS August 2014 Your assets Scum pnces, income and current values flown ma) be approximate. As a *sulk gains aldlossestn mol be mcwale
EFTA01273308_sub_003 - EFTA01273308_300
-0.94% 1.14% CNP 7C00000581031 6 NP700O205088 C•3032 0215030579004 Y123568SSOCOMpitGitocoAtie 2 of 16 CONFIDENTIAL EFTA_00131304 EFTA01273511 UBS Strategic Advisor SUBS February 2015 Change in the value of your account February 2015 (11 Year to date (1) Opening account value $1,651,844.10 $1,721,
EFTA01273308_sub_004 - EFTA01273308_336
continued next page CNP70003005764698NP7003199938000M OBIS 030575004 VI 23568550000aky_Ghtp002~ 6 of 16 CONFIDENTIAL EFTA_00131408 EFTA01273615 UBS Strategic Advisor Account name: GHISLAINE MAXWELL friendly account name: Account number. Your t5 Randal Advisor: SCOTT STACK MANNYLE CASRIEL Your assets
EFTA01274387_sub_004 - EFTA01274387_330
UBS Strategic Advisor sUBS August 2015 Account name: GHIS&AINE MAXWELL Friendly account name: Account number. Your Financial Advisor: SCOTT STACK MAI,/ LYL
EFTA01274073_sub_001 - EFTA01274073_100
i.v. 201402 SDNY_GM_00021321 EFTA_001 3 194 1 EFTA01274148 SUBS UBS Financial Services Inc 299 Park Avenue 25th Roor New York NY 10171.0002 UBS Strategic Advisor• July 2014 CW700578941530714 >2 Y1 0 GHISLAINE MAXWELL 116 E 65TH STREET NEW YORK NY 10065.7007 Account name•- GHISLANE MAXWELL Friend
EFTA01274941_sub_001 - EFTA01274941_100
rr.utUdi fund shares held in select 085 Investment Advisory Programs will be converted starting in lune. See your statement activity for details UBS Strategic Advisor• June 2014 GHISLAINE MAXWELL 116 E 65TH STREET NEW YORK NY 10065-7007 Value of your account on May 30 (S) As a service to you, your po
EFTA01278351_sub_001 - EFTA01278351_100
STACK MAN LYLE CASRIEL CNP7COCO3VASSUI 0 Ne70C0I87303 00004 071 7 030575304 CONFIDENTIAL ONSINLY_GM_00026094 4 of a EFTA_00137457 EFTA01278364 UBS Strategic Advisor UBS 1Uly 2017 Your assets Account name: GHI5LAINE MAXWELL IRA Friendly account narne:Indiv IRA Account type: Individual Retirement Acc
EFTA01278351_sub_002 - EFTA01278351_200
al dividends CNP700C0005690686NP7000192652 00004 0518 030575004 CONFIDENTIAL $108.48 CetfifiklYGM000269Pale 6 of 8 EFTA_00137559 EFTA01278466 UBS Strategic Advisor T May 2018 Account activity this month ccontinVeCTI Date Acthity DercrIptIon Dividend and interestincome (COntinlaed) (nterest Acco
EFTA01273824_sub_001 - EFTA01273824_100
funds debited 450,699.49 CW70003005498920 W7000293741 00003 0614 030575004 CONFIDENTIAL 11 gtACGM_000§4,4834 of 102 EFTA_00131668 EFTA01273875 UBS Strategic Advisor T June 2014 Account name: CHISLAINE MAXWELL Friendly account name: Account number. Account activity this month (contrved Investment tr
EFTA01273644_sub_002 - EFTA01273644_180
E CASRIEL CNP7000E006S05202 NP700030951s 00002 OSI6 030579304 VI23568550 11 WINLYGM00020edfile 4 of 10 CONFIDENTIAL EFTA_00 I 31544 EFTA01273751 UBS Strategic Advisor sUBS June 2016 Your assets Account name: GHISLAINE MAXWELL Friendly account newie:Indi Account number. Y1 Some canoes, Income and cu
EFTA01275237_sub_001 - EFTA01275237_100
d next page CNP7C0C0305749200NP70CO202277 C0035 0216 030575004 Y123574550 106tfiqyGro0002Figie 10 of 12 CONFIDENTIAL EFTA_00133137 EFTA01275274 UBS Strategic Advisor Account name: GHISLA1NE MAXWELL Your Mendel Advisor: T February 2016 Friendly account name Account number. - SCOTT STACK MANLYLE CASRIE
EFTA01275237_sub_002 - EFTA01275237_170
In, First Out. CNP7C00800S6S4262NP70C0I95I85 00C04 07I6 030575004 yingyaSS0CCifyyjtaGM00022,gie 4 of 12 CONFIDENTIAL EFTA 00133201 EFTA01275338 UBS Strategic Advisor UBS July 2016 Your assets Account name: Friendly account newel Account number. Some pnces, mottle and current vanes shown may teepprone
EFTA01278123_sub_002 - EFTA01278123_158
CNP7005671663 0S1 5 Y1 0 Account name: GHISLANE MAXWELL IRA Friendly account name: IRA Account type: 'nth/dual Rebrient Account Account number UBS Strategic Advisor May 2015 itlariaLL IRA NEW YORK NY 10065.7007 Your tinandei Advisor- SCOTT STACK MAN/LYLE CASRIEL Phone: 212-821-70001800.308-3140 Que

Ghislaine Maxwell
PersonBritish socialite and sex trafficker, daughter of Robert Maxwell, accomplice of Jeffrey Epstein
Russell 3000
OrganizationRussell 3000 U.S. stock market index

Stanford University
LocationPrivate research university in Stanford, California, USA
LOS AG
OrganizationOrganization referenced in documents
UPS AG
OrganizationOrganization referenced in documents

Vicky Ward
PersonBritish investigative journalist

United States
LocationCountry located primarily in North America

UBS AG
OrganizationSwiss multinational investment bank and financial services company
Franco
PersonSurname reference in Epstein-related documents

Condoleezza Rice
PersonAmerican diplomat and political scientist (born 1954)

Puerto Rico
LocationUnincorporated territory of the United States of America
Harbor Boulevard
LocationBoulevard in Florida
Bank USA
OrganizationBank USA subsidiary
Weehawken
LocationCity in New Jersey
FDIC Insurance
OrganizationOrganization referenced in documents

U.S. Treasury
OrganizationUnited States Department of the Treasury, executive department of the federal government

NEW YORK NY
LocationState of the United States of America

Joi Ito
PersonJapanese-American activist, entrepreneur, and venture capitalist
Nnandal
OrganizationOrganization referenced in documents
Cayman
LocationBritish Overseas Territory in the Caribbean