59
Total Mentions
59
Documents
427
Connected Entities
Person referenced in documents
EFTA00095871
ditions of this Non- Prosecution Agreement and agrees to comply with them. R. ALEXANDER ACOSTA UNITED STATES ATTORNEY Dated: Dated: Dated: By: A. MARIE VILLAFARA ASSISTANT U.S. ATTORNEY GERALD LEFCOURT, BSQ. COUNSEL TO JEFFREY EPSTEIN LILLY ANN SANCM3Z, BSQ. ATTORNEY FOR JEFFREY EPSTEIN Page 7
EFTA00176757
ent and agrees to comply with them. R. ALEXANDER ACOSTA UNITED STATES ATTORNEY Dated: A h din Dated: Dated: Dated: By: Y'rcitngi"---- Mum oi A. MARIE VILLAFAFIA ASSISTANT U.S. ATTORNEY JEFFREY EPSTEIN RALD LEFCO RTk ESQ. COUNSEL TO JEFFREY EPSTEIN LILLY ANN SANCHEZ, ESQ. ATTORNEY FOR JEFFREY
EFTA00176610
mission of a federal offense; in violation of Title 18, United States Code, Sections 1512(d)(2) and 2. R. ALEXANDER ACOSTA UNITED STATES ATTORNEY A. MARIE VILLAPARA ASSISTANT UNITED STATES ATTORNEY 2 EFTA00176696 -Etrowl-JaiLi q/I9 Lrapewn JO1 UNITED STATES DISTRICT COURT SOUTHERN DISTRICT OF FLO
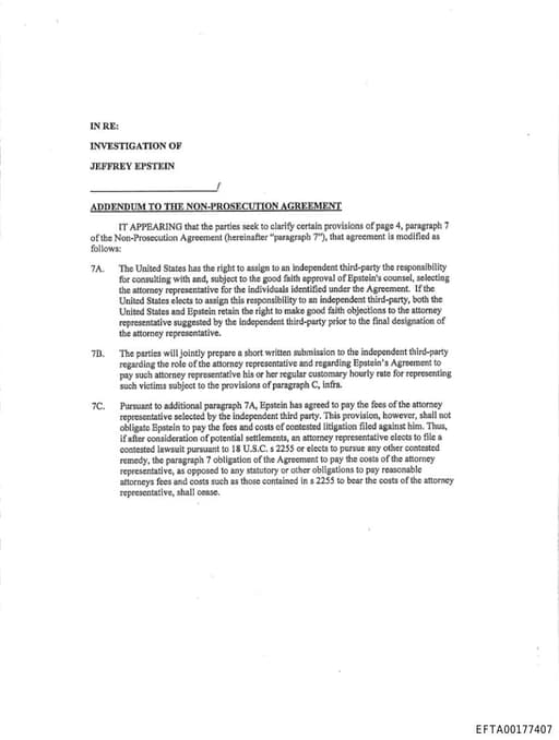
EFTA00177407
nds the clarifications to the Non- Prosecution Agreement and agrees to comply with them. R. ALEXANDER ACOSTA UNITED STATES ATTORNEY Dated: By: A. MARIE VILLAFARA ASSISTANT U.S. ATTORNEY Dated: JEFFREY EPSTEIN Dated: Dated: ERALD LEFCO RT ESQ. COUNSEL TO JEFFR Y EPSTEIN LILLY ANN SANCHEZ, ESQ.
EFTA00177423
s to the Non- Prosecution Agreement and agrees to comply with them. R. ALEXANDER ACOSTA UNITED STATES ATTORNEY Dated: Dated: Dated Dated: By: A. MARIE VILLAFA9A ASSISTANT U.S. ATTORNEY JEFFREY EPSTEIN RALD LEFCO RT ESQ. COUNSEL TO MEER Y EPSTEIN LILLY ANN SANCHEZ, ESQ. ATTORNEY FOR JEFFREY EPS
EFTA00179250
Prosecution Agreement and agrees to comply with them. R. ALEXANDER ACOSTA UNITED STATES ATTORNEY Dated: By: Dated: Dated: Dated: q„-Atin -- A. MARIE VILLAFARA ASSISTANT U.S. ATTORNEY JEFFREY EPSTEIN GERALD LEFCOURT, ESQ. COUNSEL TO JEFFREY EPSTEIN , ESQ. ATTORNEY FOR JEFFREY EPSTEIN Page 7
EFTA00187109
follow, FAX = original EFTA00187113 SOUTHERN DISTRICT OF FLORIDA LIONS INPUT SHEET USAO ID NO.: DISTRICT COURT NO.: ENTERED IN LIONS: AUSA: A. MARIE VILLAFARA NAME OF CO-COUNSEL: OCT./F:1'F Operation Name: OCDETF FC/FLS/ U.S. I. OPERATION LEAP YEAR DEFENDANT NAME: Operation Leap Year DATE
EFTA01338104
ttn: Anita Muller DATE: June 19, 2007 FAX NO. 205-402-8086 II OF PAGES: (-7 PHONE NO. RE: Grand Jury Subpoenas O1,V-01 & O1,V-28 FROM: A. MARIE. VII.LAFASA, Assistant U.S. Attorney PHONE NO. 561 209-1047 COMMENTS: SDNY_GM_02771800 SUBJECT TO PROTECTIVE ORDER PARAGRAPHS 7, 8, 9, 10, 15, a
EFTA00192625
stands the conditions of this Non- Prosecution Agreement and agrees to comply with them. R. ALEXANDER ACOSTA UNITED STATES ATTORNEY Dated: By: A. MARIE VILLAFARA ASSISTANT U.S. ATTORNEY Dated: Dated: cit /9-4-107 Dated: JEFFREY EPSTEIN RATS LEFCOUR ESQ. C t .. OUNSEL TO JEFFR Y EPSTEIN LILLY
EFTA00192670
s, more or less. Pursuant to Title 18, United States Code, Section 1594(b). A TRUE BILL. FOREPERSON R. ALEXANDER ACOSTA UNITED STATES ATTORNEY A. MARIE VILLAFARA • • ASSISTANT UNITED STATES ATTORNEY 77 54 EFTA00192744 Rov BLACK HOWARD M. SREBNICK SCOTT A. KORNSPAN LARRY A. STUPAPP MARIA NE
EFTA00192771
s the heartfelt regards of self and Special Agents and for the health and well-being of Ms. M. R. ALEXANDER ACOSTA UNITED STATES ATTORNEY By: A. MARIE VILLAFARA ASSISTANT U.S. ATTORNEY cc: Jack Goldberger, Esq. EFTA00192776 U.S. Department of Justice United States Attorney Southern District
EFTA00192983
secution Agreement and agrees to comply with them. R. ALEXANDER ACOSTA UNITED STATES ATTORNEY Dated: By: Dated: 772-) /'9" -- Dated: Dated: A. MARIE VILLAFA&A ASSISTANT U.S. ATTORNEY GERALD LEFCOURT, ESQ. COUNSEL TO JEFFREY EPSTEIN LILLY ANN SANCHEZ, ESQ. ATTORNEY FOR JEFFREY EPSTEIN Page 7
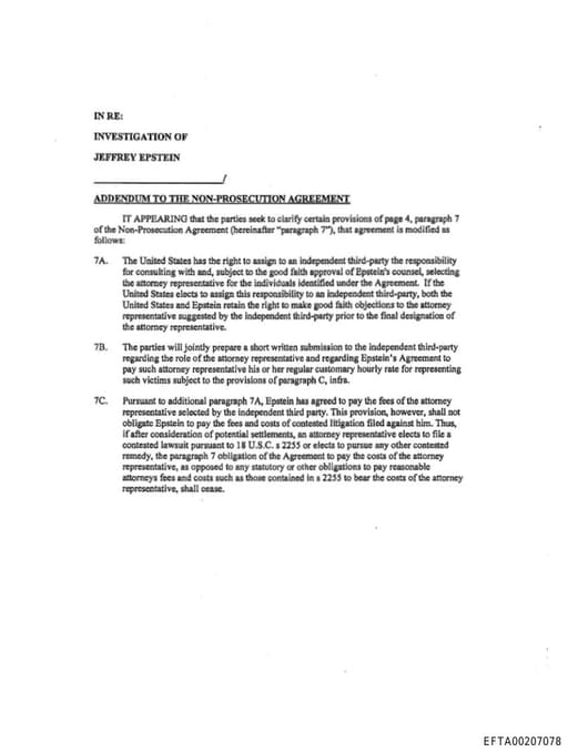
EFTA00207078
on- Prosecution Agreement and agrees to comply with them. R. ALEXANDER ACOSTA UNITED STATES ATTORNEY Dated: /0/3 0%7 Dated: Dated: Dated: By: A. MARIE VILLAFARA ASSISTANT U.S. ATTORNEY JEFFREY EPSTEIN D LEFCO IC ESQ. COUNSEL TO JEFF Y EPSTEIN LILLY ANN SANCHEZ, ESQ. ATTORNEY FOR JEFFREY EPSTE
EFTA00211893
ank you and your client for all of her assistance during the course of this investigation. R. ALEXANDER ACOSTA UNITED STATES ATTORNEY DRAFT By: A. MARIE VILLA!' ASIA ASSISTANT U.S. ATTORNEY cc: Robert Josefsberg, Esq. Jack Goldberger, Esq. EFTA00211897
EFTA00220771
f myself and Special Agents Kuyrkendall and Richards for the health and well-being of Ms. Garcia. R. ALEXANDER ACOSTA UNITED STATES ATTORNEY By: A. MARIE VILLAFARA ASSISTANT U.S. ATTORNEY cc: Jack Goldberger, Esq. EFTA00220772
EFTA00220805
stions regarding this letter, you can contact me at the address and telephone number shown above. R. ALEXANDER ACOSTA UNITED STATES ATTORNEY By: A. MARIE VILLAFARA ASSISTANT U.S. ATTORNEY cc: Katherine Ezell, Esq. EFTA00220806
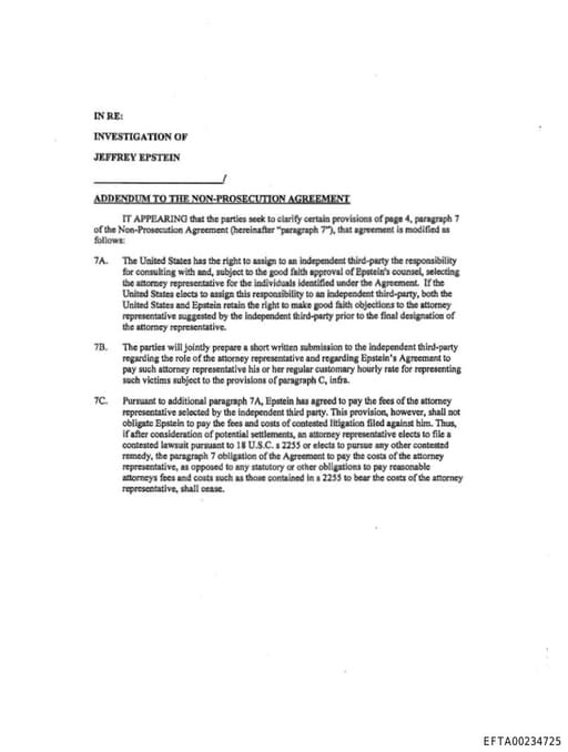
EFTA00234725
on- Prosecution Agreement and agrees to comply with them. R. ALEXANDER ACOSTA UNITED STATES ATTORNEY Dated: /0/3 0%7 Dated: Dated: Dated: By: A. MARIE VILLAFARA ASSISTANT U.S. ATTORNEY JEFFREY EPSTEIN D LEFCO IC ESQ. COUNSEL TO JEFF Y EPSTEIN LILLY ANN SANCHEZ, ESQ. ATTORNEY FOR JEFFREY EPSTE
EFTA00235698
tands the conditions of this Non. Prosecution Agreement and agrees to comply with them. R. ALEXANDER ACOSTA UNITED STATES ATTORNEY Dated: By: A. MARIE VILLAFARA ASSISTANT U.S. ATTORNEY Dated: Dated: 7/2-'flo7 Dated: LILLY ANN SANCHEZ, ESQ. ATTORNEY FOR JEFFREY EPSTEIN Pago 7 of 7 EFTA0023570
EFTA00715412
pectfully submitted, WIFREDO A. FERRER UNITED STATES ATTORNEY By: 5/ Dexter A. Lee DEXTER A. LEE Assistant U.S. Attorney Fla. Bar No. 0936693 A. MARIE VILLAFARA EDUARDO I. SANCHEZ 2 EFTA00715413 Case 9:08-cv-80736-KAM Document 182 Entered on FLSD Docket 12/21/2012 Page 3 of 4 Assistant U.S. At
EFTA00076068
ditions of this Non- Prosecution Agreement and agrees to comply with them. R. ALEXANDER ACOSTA UNITED STATES ATTORNEY Dated: Dated: Dated: By: A. MARIE VILLAFARA ASSISTANT U.S. ATTORNEY GERALD LEFCOURT, BSQ. COUNSEL TO JEFFREY EPSTEIN LILLY ANN SANCM3Z, BSQ. ATTORNEY FOR JEFFREY EPSTEIN Page 7

Jeffrey Epstein
PersonAmerican sex offender and financier (1953–2019)

Alexander Acosta
PersonAmerican attorney and politician, 27th U.S. Secretary of Labor (born 1969)

United States
LocationCountry located primarily in North America

A. Marie Villafana
PersonFormer Assistant U.S. Attorney, lead federal prosecutor in the 2008 Epstein case
FBI
OrganizationFederal Bureau of Investigation, domestic intelligence and security service of the United States
the Southern District
LocationFederal judicial district in New York City

the United States District Court
OrganizationU.S. federal trial court with jurisdiction over federal cases

Department of Justice
OrganizationUnited States Department of Justice, federal executive department responsible for law enforcement
Gerald Lefcourt
PersonAmerican lawyer
Jack Goldberger
PersonAmerican criminal defense attorney who represented Jeffrey Epstein, partner at Goldberger Weiss P.A. in West Palm Beach, Florida

Palm Beach Police Department
OrganizationPolice agency
Ann Sanchez
PersonPerson referenced in documents

Kenneth Marra
PersonAmerican judge
Jane Doe
PersonPseudonym for anonymous victims/witnesses in Epstein legal proceedings

Bradley Edwards
PersonAmerican attorney who represented Epstein victims, author of Relentless Pursuit

Southern District of New York
OrganizationFederal judicial district covering Manhattan and surrounding areas
Leon Black
PersonAmerican billionaire businessman (born 1951)
Community Control 1
OrganizationProbation or community supervision term

Sarah Kellen
PersonAmerican assistant to Jeffrey Epstein, named as unindicted co-conspirator in 2008 non-prosecution agreement
Roy Black
PersonAmerican lawyer (1945–2025)