
64
Total Mentions
50
Documents
435
Connected Entities
Surname reference in Epstein-related documents
EFTA00584912
ad been teaching economics in the United States when the uprising against Qaddafi erupted) and others who have endured the hardships of life inside Qaddafi's Libya, including torture and imprisonment, and are therefore apt to believe that their sacrifices give them a superior claim to power. 2) Islami
der of business for any new government is establishing control over its domain. In Libya, EFTA00584931 21 pockets of resistance remain in Sirte (Qaddafi's hometown) and Bani Walid, and even with NATO's air support and the insurgents' superiority in weaponry and numbers, wresting control of these pl
ents began to receive weapons and training from the outside, special forces from France, Britain, Jordan, and Qatar were deployed to help them, the Qaddafi regime's financial assets were frozen, a naval quarantine was imposed, and stream of states began to recognize the National Transitional Council (
EFTA02690064
required to hold the state together. To be sure, Egypt's Mubarak and Tunisia's Ben Ali neither ran police states on the terrifying scale of Libya's Qaddafi and Syria's Assad nor stifled economic progress with such alacrity. But while Mubarak and Ben Ali left their countries in conditions suitable for t
iddle East these dictators remain the exception to the rule, and this is why quasi monarchies of the iron-fisted Assad or the crazed and tyrannical Qaddafi are now under assault. THE PLACE where benevolent autocracy has struck deep and has systematic roots is Asia. Any discussion of whether and how de
EFTA02681485
e of his control of Syria's security forces, is "first in command, not second." Bashar's comment that he doesn't own the country is reminiscent of Qaddafi's denial that he had any position of authority in Libya at the beginning of the unrest there. Likewise reminiscent of Qaddafi, who repeatedly claim
at the claim is demonstrably false -- his calm demeanor during the interview underscored this distinction between him and the emotionally unstable Qaddafi. Perhaps a better comparison for Bashar is to Qaddafi's own designated successor, his son Saif al-Islam, who was also seen as a potential force of
EFTA02341361
Libya, the French, British and United States governments are hoping that the rebels, with the aid of alliance airstrikes, will be able to topple the Qaddafi government. The British government said that it believes shipping arms to the rebels would be legal in some cases, a Foreign Office spokesman said
ebels By DAVID JOLLY Published: July 01, 2011 Britain is providing limited assistance to the Libyan rebels fighting the forces of Col. Muammar el- Qaddafi, including protective clothing for police officers, Foreign Secretary William Hague said on Thursday, a day after France acknowledged providing ligh
EFTA00694864
gality and democracy." EFTA00694866 ;`' The Former President was Libya's ambassador to India in the 198os under the regime of now slain dictator Qaddafi before he defected in 1981 to become a leader of the exiled opposition for three decades. I leave with my head held high and my conscious clear," AF
ported. The President received a standing ovation from congress members after he ended his speech, which touched on his own exile and opposition to Qaddafi and which paid tribute to the former rebel fighters who ousted the dictator. ;`' Inline image 1 A Britain-educated economist, he was born in 1940
EFTA00672509
Dr_Al_Magariaf CV.brief Arabic(1).pdf; Facii_goah_CV_2011.pdf Jeffrey As you might have read or seen on the news, in addition to capturing two of Qaddafi's sons (including Seif) rebel fighters have totally taken control of Tripoli and are mopping up the remnants of Qaddafi's forces who have all but d
From: Gregory Brown To: Jeffrey Epstein <[email protected]> Cc: F Noah Subject: Re: Libyan Rebels Enter Tripioli and Capture Two of Qaddafi's Sons - THE GAME IS OVER Date: Mon, 22 Aug 2011 22:24:05 +0000 Attachments: Transitional_National_Cotmcil_of Libya_overview_08_22_11.pdf; The_Tr
EFTA02694256
pring's `Hard Road' By DAVID D. KIRKPATRICK TUNIS - Like the flight of Tunisia's dictator or the trial of Egypt's, the capture of Col. Muammar el- Qaddafi on Thursday afternoon captivated the Arab world, giving a renewed sense of power and possibility. But the photographs of his bloody corpse that cir
E7lir ;New Uork atinicr, Qaddafi's Death Places Focus on Arab Spring's `Hard Road' By DAVID D. KIRKPATRICK TUNIS - Like the flight of Tunisia's dictator or the trial of Egypt's, t
EFTA02692715
ult of today's victory more and more people/groups will be willing to work with the TNC because rebel forces mow have entered Tripioli, captured two Qaddafi's sons and he is on the run without a command structure... The downside for us is that we are losing our head start and the advantage of being ident
From: Greg Brown Sent: Monday, August 22, 2011 5:01 AM To: Jeffrey Epstein Subject: Libyan Rebels Enter Tripioli and Capture Two of Qaddafi's Sons - THE GAME IS OVER Jeffrey.... As a result of today's victory more and more people/groups will be willing to work with the TNC because rebel
EFTA00717209
ic growth. Upping the International Role Despite a significant investment of military and political capital in helping the Libyan rebels overthrow Qaddafi, international actors have done very little to support Libya's post-conflict recovery to date. In contrast with all other cases of NATO military in
ding the Lebanese daily As Safir, the Egyptian dailies Al-Masry al- Youm and Aldostor, and the Jordanian daily Alghad. Article 4. RAND Libya after Qaddafi — Lessons and Implications for the Future Christopher S. Chivvis, Jeffrey Martini (Summary) EFTA00717217 March 17, 2014 -- Since the 2011 overth
EFTA02694283
dead loyalist gunman in the foreground, in the coastal Libyan city of Side on October 20, 2011. Arabic graffiti in blue reads: 'This is the place of Qaddafi, the rat. God is the greatest.' (Credit: Getty Images) Muammar Qaddafi's final day most likely began as it ended: In a squeeze. He was almost surel
Don't shoot": Qaddafi's last moments October 20, 2011 A Libyan National Transitional Council (NTC) fighter looks through a large concrete pipe where ousted Libyan leader
EFTA00674668
nt officials, which I am sure that they will not want to explain in open court More importantly, GS already offered a $250 million settlement which Qaddafi turned down. I am sure that the magic number now that the TNC has taken over is close to a billion, and as such I suggest that this be one of our fi
ture the lost, stolen and misappropriated sovereign/govemment funds and assets, as well as those personally held (or through surrogate/entities) by Qaddafi, his family, friends, business partners and others internationally, estimated to be more than US$200 billion. And the one of the first targets shoul
EFTA00695504
to issue arrest warrants, potentially to Qaddafi and three of his sons, among others. On May 3ffi, Turkish Prime minister Erdogan called on Colonel Qaddafi to step down from power. Morocco On February 24th, the Moroccan Youth Movement organized protests in seventy cities across the Kingdom. Protesters
st to investigate possible crimes against humanity and war crimes in Libya. He plans to also ask ICC judges to issue arrest warrants, potentially to Qaddafi and three of his sons, among others. On May 3ffi, Turkish Prime minister Erdogan called on Colonel Qaddafi to step down from power. Morocco On Fe
EFTA02682742
e the whole of the country's fertile coastal zone, which contains around 95% of Libya's 6m people, under the control of the new authorities. Colonel Qaddafi, perhaps with the three of his seven sons who have not been killed by NATO air strikes or taken asylum in Algeria, is presumed to be heading farthe
Rabbani, a leader of the Warfallah tribe in Bani 750km Walid, during a pause in talks held at a roadside mosque on the front-line. "Propaganda is Qaddafi's last weapon," he adds, "but even that is almost gone." To help persuade doubters of their good intent, rebel commanders have put local brigades a
EFTA00708205
and urged Israel to ease its blockade of Gaza and to allow Palestinian security forces to expand their role in the West Bank. World Powers Call on Qaddafi to Step Down A gathering of some 40 nations and institutions meeting in London on Tuesday on the Libyan crisis put pressure on the country's leade
EFTA00707932
alled for Al-Asad to step down and critics say the threat to the Syrian population by its president is no less than was the threat to Libyans from Qaddafi that was cited by Obama as the motivating factor in the U.S. call for a regime change in Libya. Some say the direct threat to Egyptians when Obama
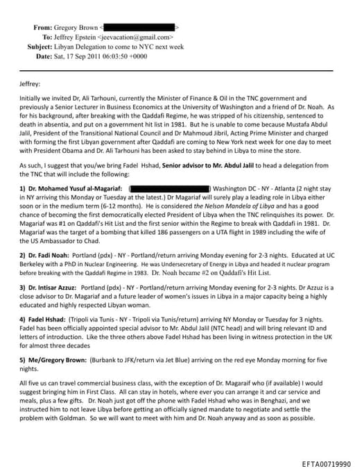
EFTA00719990
esident of the Transitional National Council and Dr Mahmoud Jibril, Acting Prime Minister and charged with forming the first Libyan government after Qaddafi are coming to New York next week for one day to meet with President Obama and Dr. Ali Tarhouni has been asked to stay behind in Libya to mine the st
EFTA00701043
whose appointment was delayed until an appeals court cleared him of the Integrity Commission's finding that he had been closely associated with the Qaddafi government, took his oath in front the Libyan General National Congress (GNC). His appointment comes at a critical time for Libyan national security
EFTA00719559
r. Some see similarities with Libya's civil war, during which persistent fears revolved around terrorist seizure of Libyan chemical weapons, or the Qaddafi regime's use of them against insurgents. Those fears turned out to be unfounded. But the Libyan chemical stockpile consisted of several tons of agi
EFTA00665901
s border with Egypt believing that it's the direction from which more terror attacks will be coming. Wanted Dead of Alive: $1.6 Million Bounty on Qaddafi's Head A bounty of $1.6 million has been placed on the head of Libyan strongman Mu'amar Al-Qaddafi by the rebel-run National Council. Those who re
EFTA00660249
rones, the way you went after terrorists was you sent your troops," says Goure. "You sent your Navy, you sent your Marines, like Reagan going after Qaddafi in the Eighties. You bombed their camp. Now you have drones that can be operated by the military or the CIA from thousands of miles away." The low

Barack Obama
PersonPresident of the United States from 2009 to 2017

Bashar al-Assad
PersonPresident of Syria from 2000 to 2024

Tunisia
LocationCountry in North Africa

Hosni Mubarak
PersonPresident of Egypt from 1981 to 2011

Lebanon
LocationCountry in West Asia

Yemen
LocationCountry in West Asia

George W. Bush
PersonPresident of the United States from 2001 to 2009

Marc Rich
PersonAmerican commodities trader (1934–2013)

Tehran
LocationCapital city of Iran

Damascus
LocationCapital and largest city of Syria

Terje Rod-Larsen
PersonNorwegian diplomat

Middle East
LocationGeopolitical region encompassing Egypt and most of Western Asia, including Iran

Cairo
LocationCapital city of Egypt

Julie K. Brown
PersonAmerican journalist

Saddam Hussein
PersonIraqi president, army officer and Baathist politician (1937–2006)

Fatah
OrganizationPalestinian nationalist political party

Bill Clinton
PersonPresident of the United States from 1993 to 2001 (born 1946)

Tripoli
LocationCapital city of Libya
the West Bank
LocationTerritory in the Middle East

Bahrain
LocationCountry in the Persian Gulf