5,019
Total Mentions
5,016
Documents
8,745
Connected Entities
Federal judicial district in New York City
EFTA00076383
cole Simmons 2 EFTA00076390 Case Gaga4.407741333-IDARn-Offiuhiefle3MOQIXD, Filki5B33fface9:4191;91 of 4 App.-0783 United States District Court Southern District of New York Plaintiff, Case No.: 15-cv-07433-RWS v. Ghislaine Maxwell, Defendant. NON-REDACTED DECLARATION OF SIGRID S. McCAWLEY IN SUPPORT OF
That is the definition. 24 However, I'm also going to ask the parties to agree 25 upon an order that would expand the confidentiality agreement SOUTHERN DISTRICT REPORTERS, P.C. (212) 805-0300 EFTA00076418 Case 20-2413, Document 44. 08/20/2020, 2913556, Page37 of 78 App.-0811 7 G4LMGIUC 1 to this exte
EFTA00794367_sub_001 - EFTA00794367_100
ration. 22 THE COURT: Okay. Agreed. 23 MR. EDWARDS: So at the time 24 THE COURT: So? 25 MR. EDWARDS: So at the time she issues her statement SOUTHERN DISTRICT REPORTERS, P.C. EFTA00794465 (212) 805-0300 EFTA00794466
DWARDS, ESQ. 21 HADDON, MORGAN AND FOREMAN, P.C. Attorneys for Defendant 22 BY: JEFFREY S. PAGLIUCA, ESQ. LAURA A. MENNINGER, ESQ. 23 24 25 SOUTHERN DISTRICT REPORTERS, P.C. EFTA00794367 (212) 805-0300 EFTA00794368 2 H3ulgiva 1 2 (Case called) 3 THE COURT: We have a problem, folks. By my count
EFTA00592369
ff BY: BRADLEY J. EDWARDS, ESQ. HADDON, MORGAN AND FOREMAN, P.C. Attorneys for Defendant BY: JEFFREY S. PAGLIUCA, ESQ. LAURA A. MENNINGER, ESQ. SOUTHERN DISTRICT REPORTERS, P.C. EFTA00592369 H3ulgiva (Case called) THE COURT: We have a problem, folks. By my count 4 5 6 7 8 9 10 11 12 13 14 15
fender registration. THE COURT: Okay. Agreed. MR. EDWARDS: So at the time -- THE COURT: So? MR. EDWARDS: So at the time she issues her statement SOUTHERN DISTRICT REPORTERS, P.C. EFTA00592418 51 H3ulgiva in 2015, which is, all of these allegations that deal with 4 5 6 7 8 9 10 11 12 13 14 15 1
EFTA00140828
. No further information was provided. The above incident is currently under investigation with the BOP. Supervisory Deputy United States Marshal Southern District of New York Associate Warden MCC New York 150 Park Row New York, New York 10007 EFTA00140828
EFTA00178938
DUZ uI.S. Department of Justice United States Attorney Southern District of Florida A ALEXAXDER ACOSTA MITE. OATES .4ITORNel atIV.WL.Y.BY Lilly Ann Sanchez Fowler White Burnett, PA 1395 Brickell Ave, 14th Floor - Mi
EFTA00158593
scussed with him whether to cooperate with the case, and had advised her to cooperate and discussed with her that Assistant United States Attorney Southern District of New York One Saint Andrew's Plaza New York, NY 10007 3509-022 Page I of I SUBJECT TO PROTECTIVE ORDER PARAGRAPHS 7, 8, 9, 10, 15, and 17 EFT
EFTA00207107
during this first viewing. However, if the referenced document is a transcript, the free copy and 30 page limit do not apply. U.S. District Court Southern District of Florida Notice of Electronic Filing The following transaction was entered by Pike, Michael on 3/26/2010 at 2:32 PM EDT and filed on 3/26/2010 C
EFTA00609462
rst Amended Complaint Civil RICO Case Statement Plaintiff's Answers to Defendant's First Interrogatories Correspondence of United States Attorney, Southern District of Florida Plaintiff's Supplemental Response to Defendant's First Request to Produce Number 7 Defendant's Reply to Plaintiff's Response in Oppositi
EFTA00073310
aware, Division of Corporations, dated August 9, 2019 Please let us know if any questions or issues, and thanks very much. Assistant U.S. Attorney Southern District of New York EFTA00073311
EFTA01650470
wanted to confirm — could you please let me know? And feel free to call if that's easier office) or (cell). Thank you I Assistant U.S. Attorney Southern District of New York EFTA01650470
EFTA00104597
anyone in our unit who has had issue with the doc review platform let me know. Assistant United States Attorney United States Attorney's Office Southern District of New York One St. Andrew's Plaza New York, New York 10007 EFTA00104597
EFTA00078224
during this first viewing. However, if the referenced document is a transcript, the free copy and 30 page limit do not apply. U.S. District Court Southern District of New York Notice of Electronic Filing The following transaction was entered by Case Name: USA v. Maxwell Case Number: 1:20-cr-00330-AJN File
EFTA00090223
U.S. Department of Justice United States Attorney Southern District of New York The SihioJ. Mollo Building One Saint Andrew's Plaza New York. New York 10007 November 18, 2021 BY E-MAIL The Honorable Alison J. Na
EFTA00176899
U.S. Department of Justice United States Attorney Southern District of Florida December 11, 2008 VIA HAND DELIVERY Captain Palm Beach Sheriffs Office Corrections Division Re: Work Release Application of Jeffrey
EFTA00105622_email_002
lease just let me know what day you prefer, and we will coordinate with the FBI to arrange for the review. Best, Assistant United States Attorney Southern District of New York 1 St. Andrew's Plaza New York, NY 10007 From: Laura Menninger <Imenning @hmflaw.com> Sent: Wednesday, April 7, 2021 3:30 PM To: ) 4
EFTA00605323
J. SHAPIRO JARED LOPEZ BLACK SREBNICK KORNSPAN STUMPF PA. January 20, 2010 Assistant United States Attorney United States Attorney's Office Southern District of Florida 500 South Australian Avenue Suite 400 West Palm Beach, Florida 33401 RE: Jeffrey Epstein Dear Marie: JESSICA FONSECA-NADER KATHLEEN
EFTA00299729
01/17/ZU07 15:57 FAX USAO WPB FL Zen TO: U.S. Department of Justice United States Attorney Southern District of Florida 500 S. Australian Ave, 4th Floor West Palm Beach, Florida 33401 Facsimile FACSIMILE COVER SHEET Lilly Ann Sanchez DATE: January 17,
EFTA00214037
)" < Subject: RE: Can you call me from a land line? Date: Wed, 26 Aug 2009 12:34:45 +0000 Importance: Normal Yes, please Assistant U.S. Attorney Southern District of Florida 500 East Broward Boulevard, 7th Floor Ft. Lauderdale, FL 33394 From:111.1.(FBI) Sent: n ay, gust 26, 2009 8:34 AM To: (USAFLS) S
EFTA00098103
2019 23:28:40 +0000 Importance: Normal Attachments: Rob_2019.01.04_Criminal_Update_Report.pdf Special edition fo United States Attorney's Office Southern District of New York One St. Andrew's Plaza Now Vnrle NV 1 nnn7 EFTA00098103
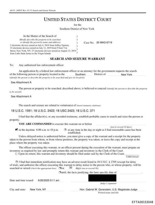
EFTA00153048
AO 93 (SDNY Rev. 01/17) Search and Seizure Warrant UNITED STATES DISTRICT COURT for the Southern District of New York In the Matter of the Search of ) (Briefly describe the property to be searched ) or identify the person by name and address) ) 2 e

Jeffrey Epstein
PersonAmerican sex offender and financier (1953–2019)

Prince Andrew
PersonThird child of Queen Elizabeth II and Prince Philip, Duke of Edinburgh (born 1960)

Ghislaine Maxwell
PersonBritish socialite and sex trafficker, daughter of Robert Maxwell, accomplice of Jeffrey Epstein

Department of Justice
OrganizationUnited States Department of Justice, federal executive department responsible for law enforcement

Bradley Edwards
PersonAmerican attorney who represented Epstein victims, author of Relentless Pursuit
Jack Goldberger
PersonAmerican criminal defense attorney who represented Jeffrey Epstein, partner at Goldberger Weiss P.A. in West Palm Beach, Florida

Alexander Acosta
PersonAmerican attorney and politician, 27th U.S. Secretary of Labor (born 1969)
Jane Doe
PersonPseudonym for anonymous victims/witnesses in Epstein legal proceedings

Alan Dershowitz
PersonAmerican lawyer, author, and art collector (born 1938)

Kenneth Marra
PersonAmerican judge

Paul Cassell
PersonUnited States federal judge

United States
LocationCountry located primarily in North America
Leon Black
PersonAmerican billionaire businessman (born 1951)

George W. Bush
PersonPresident of the United States from 2001 to 2009
Robert D. Critton
PersonIndividual referenced in Epstein legal documents
Jeffrey Pagliuca
PersonAmerican attorney, defense lawyer for Ghislaine Maxwell during her criminal trial

Michael Cohen
PersonAmerican former attorney and former Republican official
FBI
OrganizationFederal Bureau of Investigation, domestic intelligence and security service of the United States

A. Marie Villafana
PersonFormer Assistant U.S. Attorney, lead federal prosecutor in the 2008 Epstein case
Martin Weinberg
PersonAmerican attorney (born 1946)