7
Total Mentions
7
Documents
12
Connected Entities
Organization referenced in documents
articularize certain requests that were applicable to the United States Attorney's Office (hereinafter "USAO") for Southern District of Florida and the FBI Office that were working with them as follows: To request that AUSA who was the lead prosecutor investigating Mr. Epstein in 2006-8 produce or in the alt
Page: EFTA00014576 →articularize certain requests that were applicable to the United States Attorney's Office (hereinafter "USAO") for Southern District of Florida and the FBI Office that were working with them as follows: To request that AUSA who was the lead prosecutor investigating Mr. Epstein in 2006-8 produce or in the alt
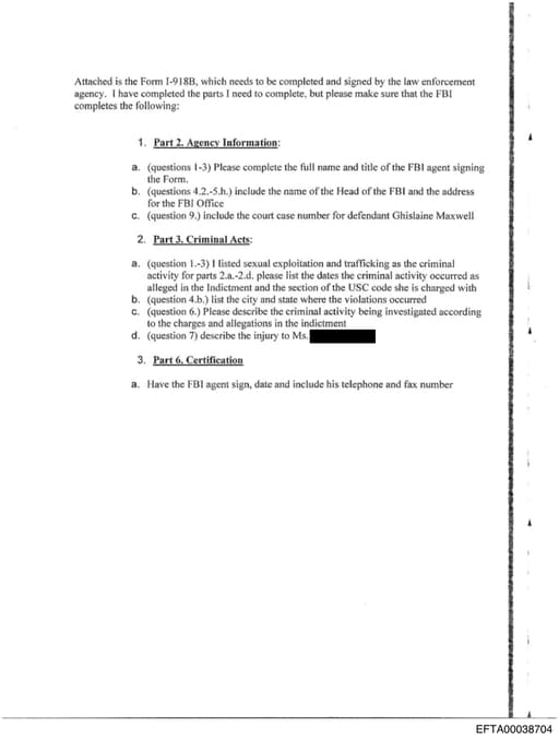
Page: EFTA00020940 →te the full name and title of the FBI agent signing the Form. b. (questions 4.2.-5.h.) include the name of the Head of the FBI and the address for the FBI Office c. (question 9.) include the court case number for defendant Ghislaine Maxwell 2. Part 3. Criminal Acts: a. (question 1.-3) I listed sexual exploi
Page: EFTA00038704 →EFTA00072741
articularize certain requests that were applicable to the United States Attorney's Office (hereinafter "USAO") for Southern District of Florida and the FBI Office that were working with them as follows: To request that AUSA who was the lead prosecutor investigating Mr. Epstein in 2006-8 produce or in the alt
EFTA00073648
articularize certain requests that were applicable to the United States Attorney's Office (hereinafter "USAO") for Southern District of Florida and the FBI Office that were working with them as follows: To request that AUSA who was the lead prosecutor investigating Mr. Epstein in 2006-8 produce or in the alt
EFTA00100779
articularize certain requests that were applicable to the United States Attorney's Office (hereinafter "USAO") for Southern District of Florida and the FBI Office that were working with them as follows: To request that AUSA who was the lead prosecutor investigating Mr. Epstein in 2006-8 produce or in the alt
EFTA00205930
GCO File No. REC-11-4159) Hi everyone — I am back from court. Sony about that. MI I hope that your trial went well. On Monday, we will be meetin at the FBI Office in West Palm Beach with Supervisory Special Agent and case agents and Former case agent be available. The address for the FBI is telephone numb

Jeffrey Epstein
PersonAmerican sex offender and financier (1953–2019)
the Southern District
LocationFederal judicial district in New York City
Martin Weinberg
PersonAmerican attorney (born 1946)

Harry Reid
PersonAmerican politician (1939–2021)

Reid Weingarten
PersonAmerican white-collar criminal defense attorney at Steptoe & Johnson, represented Jeffrey Epstein and other high-profile clients

Michael Milken
PersonAmerican investor
Ste toe & Johnson LLP
OrganizationOrganization referenced in documents

Prince Andrew
PersonThird child of Queen Elizabeth II and Prince Philip, Duke of Edinburgh (born 1960)
Electronic Mail
OrganizationOrganization referenced in documents
District Court for the Southern District of New York
OrganizationU.S. District Court for the Southern District of New York
Southern District of Florida
LocationFederal judicial district in Florida
U.S. Attorney's Office
OrganizationU.S. federal prosecutors office