6
Total Mentions
6
Documents
3
Connected Entities
Surname or name fragment in documents
EFTA01355986
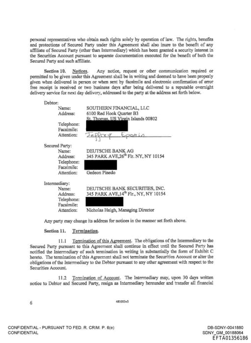
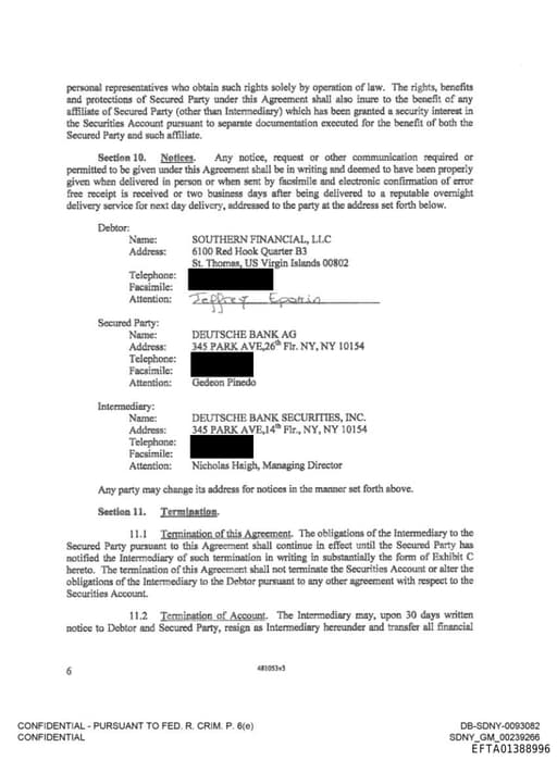
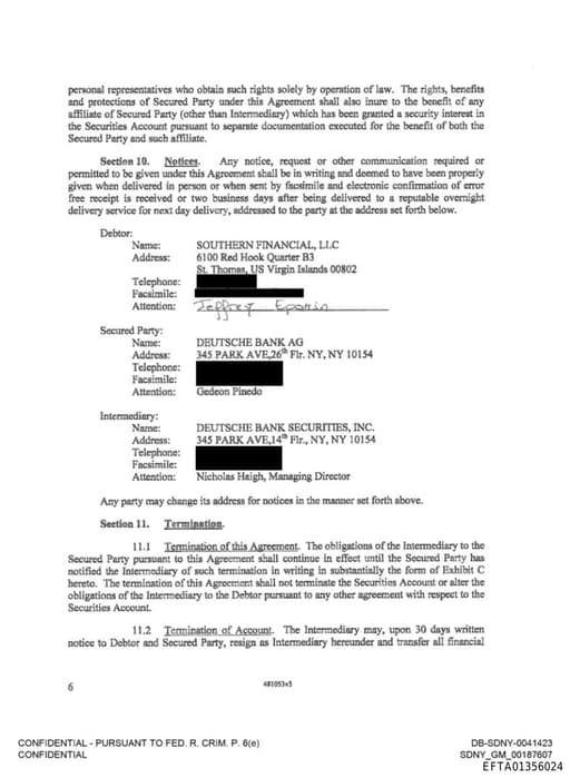
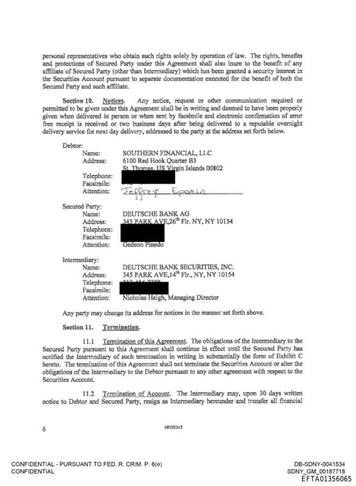
, Managing Director Any party may change its address for notices in the marmer set forth above. Section 11. Termination. 11.1 Termination of this Agiccment. The obligations of the Intermediary to the Secured Party pursuant to this Agreement shall continue in effect until the Secured Party has notified
EFTA01356024
, Managing Director Any party may change its address for notices in the rammer set forth above. Section 11. Termination. 11.1 Termination of this Agiccment. The obligations of the Intermediary to the Secured Party pursuant to this Agreement shall continue in effect until the Secured Party has notified
EFTA01356065
, Managing Director Any party may change its address for notices in the marmer set forth above. Section 11. Termination. 11.1 Termination of this Agiccment. The obligations of the Intermediary to the Secured Party pursuant to this Agreement shall continue in effect until the Secured Party has notified
EFTA01356186
, Managing Director Any party may change its address for notices in the marmer set forth above. Section 11. Termination. 11.1 Termination of this Agiccment. The obligations of the Intermediary to the Secured Party pursuant to this Agreement shall continue in effect until the Secured Party has notified
EFTA01387654
, Managing Director Any party may change its address for notices in the rammer set forth above. Section 11. Termination. 11.1 Termination of this Agiccment. The obligations of the Intermediary to the Secured Party pursuant to this Agreement shall continue in effect until the Secured Party has notified
EFTA01388996
, Managing Director Any party may change its address for notices in the marmer set forth above. Section 11. Termination. 11.1 Termination of this Agiccment. The obligations of the Intermediary to the Secured Party pursuant to this Agreement shall continue in effect until the Secured Party has notified