55
Total Mentions
55
Documents
12
Connected Entities
Organization referenced in documents
EFTA01353350
he UCC) in substantially the form set forth as Exhibit A from the Secured Party directing transfer or redemption of any financial asset credited to the Securities Account or any free credit balances with respect to such Securities Account (hereinafter an "Entitlement Other"), the Intermediary shall comply with such E
EFTA01353351
to the Securities Account. The Intermediary shall have rights of set-off with respect to the Securities Account, however, the Intermediary shall not exercise any such right o
EFTA01353353
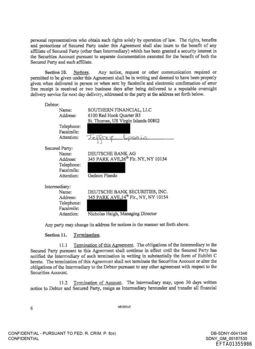
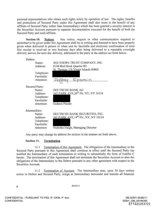
Agreement shall also inure to the benefit of any affiliate of Secured Party (other than Intermediary) which has been granted a security interest in the Securities Account pursuant to separate documentation executed for the benefit of both the Secured Party and such affiliate. Section 10. Notices. Any notice, reques
EFTA01353352
This Agreement is the valid and legally binding obligation of the Intermediary and the Intermediary shall not change the name or account number of the Securities Account without the prior written consent of the Secured Party; 6.2 Adverse Claims. Except for the claims and interest of the Secured Party, the Intermedi
EFTA01353670
curities account number (the "Securities Account"): U All security entitlements with respect to all financial assets now or hereafter credited to the Securities Account. Select One El The security entitlements with respect to the following financial assets credited to the Securities Account: You are hereby instr
EFTA01353667
Agreement shall also inure to the benefit of any affiliate of Secured Party (other than Intermediary) which has been granted a security interest in the Securities Account pursuant to separate documentation executed for the benefit of both the Secured Party and such affiliate. Section 10. Notices. Any notice, reques
EFTA01353665
to the Securities Account. The Intermediary shall have rights of set-off with respect to the Securities Account, however, the Intermediary shall not exercise any such right o
EFTA01353666
This Agreement is the valid and legally binding obligation of the Intermediary and the Intermediary shall not change the name or account number of the Securities Account without the prior written consent of the Secured Party; 6.2 Adverse Claims. Except for the claims and interest of the Secured Party, the Intermedi
EFTA01353723
Agreement shall also inure to the benefit of any affiliate of Secured Party (other than Intermediary) which has been granted a security interest in the Securities Account pursuant to separate documentation executed for the benefit of both the Secured Party and such affiliate. Section 10. Notices. Any notice, reques
EFTA01353721
he UCC) in substantially the form set forth as Exhibit A from the Secured Party directing transfer or redemption of any financial asset credited to the Securities Account or any free credit balances with respect to such Securities Account (hereinafter an "Entitlement Order"), the Intermediary shall comply with such E
EFTA01353722
This Agreement is the valid and legally binding obligation of the Intermediary and the Intermediary shall not change the name or account number of the Securities Account without the prior written consent of the Secured Party; 6.2 Adverse Claims. Except for the claims and interest of the Secured Party, the Intermedi
EFTA01355985
to the Securities Account. The Intermediary shall have rights of set-off with respect to the Securities Account, however, the Intermediary shall not exercise any such right o
EFTA01355986
Agreement shall also inure to the benefit of any affiliate of Secured Party (other than Intermediary) which has been granted a security interest in the Securities Account pursuant to separate documentation executed for the benefit of both the Secured Party and such affiliate. Section 10. Notices. Any notice, reques
EFTA01355983
he UCC) in substantially the form set forth as Exhibit A from the Secured Party directing transfer or redemption of any financial asset credited to the Securities Account or any free credit balances with respect to such Securities Account (hereinafter an "Entitlement Order"), the Intermediary shall comply with such E
EFTA01355984
respect to the Securities Account (or, if applicable, the specific security entitlements so identified in such notice) solely from the Secured Party and thereafter shall not honor an
EFTA01355987
either the Secured Party nor the Debtor has delivered a suitable Entitlement Order with respect to the transfer of the financial assets credited to the Securities Account, the Intermediary may, at its option, deposit the assets with a court of competent jurisdiction or establish a successor account at another institu
EFTA01356022
to the Securities Account. The Intermediary shall have rights of set-off with respect to the Securities Account, however, the Intermediary shall not exercise any such right o
EFTA01356021
he UCC) in substantially the form set forth as Exhibit A from the Secured Party directing transfer or redemption of any financial asset credited to the Securities Account or any free credit balances with respect to such Securities Account (hereinafter an "Entitlement Order"), the Intermediary shall comply with such E
EFTA01356023
This Agreement is the valid and legally binding obligation of the Intermediary and the Intermediary shall not change the name or account number of the Securities Account without the prior written consent of the Secured Party; 6.2 Adverse Claims. Except for the claims and interest of the Secured Party, the Intermedi
EFTA01353356
curities account number (the "Securities Account"): U All security entitlements with respect to all financial assets now or hereafter credited to the Securities Account. Select One El The security entitlements with respect to the following financial assets credited to the Securities Account: You are hereby instr
Intermediary
OrganizationOrganization referenced in documents
Notice of Sole Control
OrganizationOrganization referenced in documents
Sole Control
OrganizationOrganization referenced in documents
the Secured Party a Notice of Sole Control
OrganizationOrganization referenced in documents
the State of New York
LocationState in the northeastern United States
Nicholas Haigh
PersonPerson referenced in documents
Debtor
OrganizationOrganization referenced in documents
Agiccment
PersonSurname or name fragment in documents
Secured Patty
OrganizationOrganization referenced in documents
Southern Trust Company
OrganizationSouthern Trust Company Inc., Epstein-controlled company in US Virgin Islands that received EDC tax exemptions totaling $73.6 million
Liens and Rights of Set-Off
OrganizationOrganization referenced in documents

the Internal Revenue Service
OrganizationInternal Revenue Service (IRS), US government agency responsible for tax collection and enforcement