3
Total Mentions
3
Documents
25
Connected Entities
Organization referenced in documents
EFTA00292375
, Morgan Stanley, and Kernel Capital > 24+ direct and secondary technology investments with co-investors such as Founders Fund, 500 Startups, SGE, State of NY, Microsoft, and Motorola MorgaiiStanley Banc ()filmed= Securities LEHMAN BROTHERS Gabe Turner General Partner )- Executive Director of Draper V
EFTA00292401
of America Securities and Kernel Capital • 24+ direct and secondary technology investments with co- investors such as Founders Fund, 500 Startups, State of NY, Microsoft and Motorola et, Morgan Sta n I ey Banc of America Securities LEHMAN BROTHERS Sa• Regina Liang Analyst • 4 years of strategy and ma
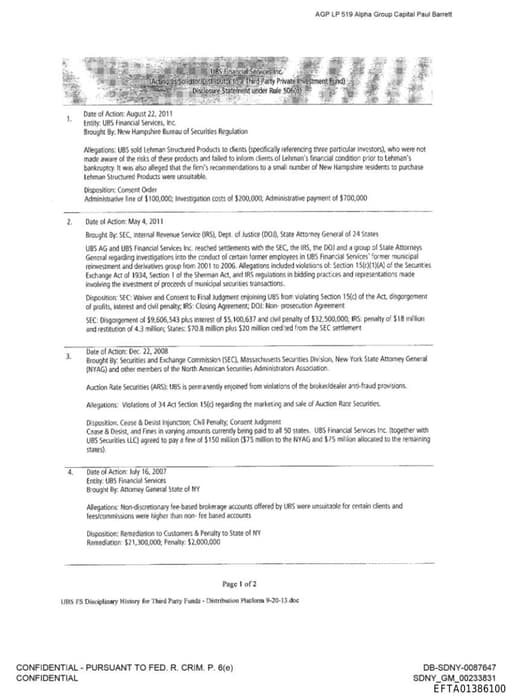
EFTA01386100
ere unsuitaale for certain clients and fees/commissions were higher than non- fee based accounts Disposition: Remediation to Customers & Penalty to State of NY Remetkation: 521300,000; Penalty: 52.000,030 Page 1 of 2 OBS PS Disciplinary History for Third Party Funds - Dictribution Plasform 9-20-13.dos CO

Eric Trump
PersonAmerican businessman and reality television personality (born 1984)

Eric Schmidt
PersonSoftware engineer, businessman, former Google CEO

Lehman Brothers
OrganizationDefunct American financial services firm

Palantir
OrganizationOrganization referenced in documents

Founders Fund
OrganizationAmerican venture capital firm

Steve Jobs
PersonAmerican entrepreneur; co-founder of Apple Inc. (1955–2011)

Accenture
OrganizationMultinational management consulting, technology services and outsourcing company

Advisory Board
OrganizationBody providing strategic advice to an organisation
US Bancorp
OrganizationAmerican bank holding company
Jefferies
OrganizationAmerican investment bank and financial services company
Paul Tuan
PersonPerson referenced in documents
Roman Glukhovsky
PersonPerson referenced in documents
Nicole DeMeo
PersonName reference in documents
Andra Fund
OrganizationOrganization referenced in documents
Venture Capitalist &
OrganizationOrganization referenced in documents
Glispa
OrganizationOrganization referenced in documents
New York Community Trust
OrganizationOrganization referenced in documents
DLA PIPER
OrganizationOrganization referenced in documents
SQUARESPACE
OrganizationOrganization referenced in documents
the Internet and Telecom
OrganizationOrganization referenced in documents