10
Total Mentions
10
Documents
4
Connected Entities
Organization referenced in documents
EFTA01382792
8- I/A Table of Contents FIRST DATA CORPORATION NOTES TO TILE CONSOLIDATED FINANCIAL STATEMENTS (Continued) In Decanber 2012, the Company acquired 100% of Clover Network, Inc., a provider of payment network semi= for total considera
EFTA01382787
S- I/A Table of Contents FIRST DATA CORPORATION NOTES TO TILE CONSOLIDATED FINANCIAL STATEMENTS (Continued) Services not specifically described above arc generally transaction based fees that arc recognized at the time the transactio
EFTA01382791
S. I/A Table of Contents FIRST DATA CORPORATION NOTES TO TILE CONSOLIDATED FINANCIAL STATEMENTS (Continued) also requires enhanced disclosures about revenue, provides guidance for transactions that were not previously addressed compr
EFTA01382803
5- I/A Table of Contents FIRST DATA CORPORATION NOTES TO TILE CONSOLIDATED FINANCIAL STATEMENTS (Continued) Note 7: Supplemental Financial Information Supplemental Consolidated Statements of Operations Information The following tab
EFTA01382817
S-1 /A Table of Contents FIRST DATA CORPORATION NOTES TO TILE CONSOLIDATED FINANCIAL STATEMENTS (Continued) Year ended December 31,2012 Global Global Network & Badness Financial Security (In millions) Solutions Solutions So
EFTA01382816
8- I/A •fable of Corncrib FIRST DATA CORPORATION NOTES TO TILE CONSOLIDATED FINANCIAL STATEMENTS (Continued) revenue-ha-sled commission payments to ISOs and sales channels which are treated as an expense in the Consolidated Statements
EFTA01382820
X- I/A Table of Contents (Continued) fear ended December 31. FIRST DATA CORPORATION NOTES TO TILE CONSOLIDATED FINANCIAL STATEMENTS The Company's income tax provisions (benefits) consisted of the following components: (In minions) 2014 2013 2012 Current: Federal
EFTA01382821
S- I/A Table of Contents FIRST DATA CORPORATION NOTES TO TILE CONSOLIDATED FINANCIAL STATEMENTS (Continued) Deferred lax assets and liabilities arc recognize) for the expected tax consequences of temporary differences between the boo
EFTA01382822
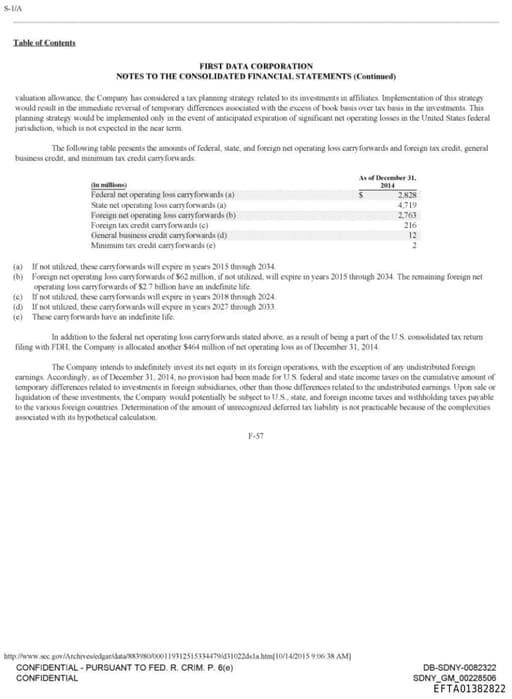
S- I/A Table of Contents FIRST DATA CORPORATION NOTES TO TILE CONSOLIDATED FINANCIAL STATEMENTS (Continued) valuation allowance, the Company has considered a tax planning strategy related to its investments in affiliates. Implementat
EFTA01382823
X- I/A 'fable of Contents FIRST DATA CORPORATION NOTES TO TILE CONSOLIDATED FINANCIAL STATEMENTS (Continued) A reconciliation of the unrecognized tax benefits for the years ended 1k:camber 31, 2012, 2013, and 2014 is as follows: Unre
Consolidated
OrganizationOrganization referenced in documents
the Consolidated Balance Sheets
OrganizationOrganization referenced in documents
the Global Business Solutions
OrganizationOrganization referenced in documents
Segment EBITDA
OrganizationOrganization referenced in documents