11
Total Mentions
11
Documents
19
Connected Entities
Person referenced in documents
EFTA01382344
board of directors and executive officers upon completion of this offering. Name Robert G. Miller Wayne A. Denningham Justin Dye Shane Sampson Robert B. Dimond Justin Ewing Robert A. Gordon Kelly P. Griffith Jim Perkins Andrew J. Scoggin Dean S. Adler(a) Sharon L. Allen*(a)(b) Steven A. Davie(c)(d)
EFTA01382354
ection with the Safeway acquisition, the company awarded the NEOs set forth below with the following one-time special bonuses: Name Special Bonus Robert B. Dimond $250,000 Wayne A. Denningham $100,000 Justin Dye $500,000 Shane Sampson $250,000 In connection with the commencement of their employment, Mes
EFTA01382353
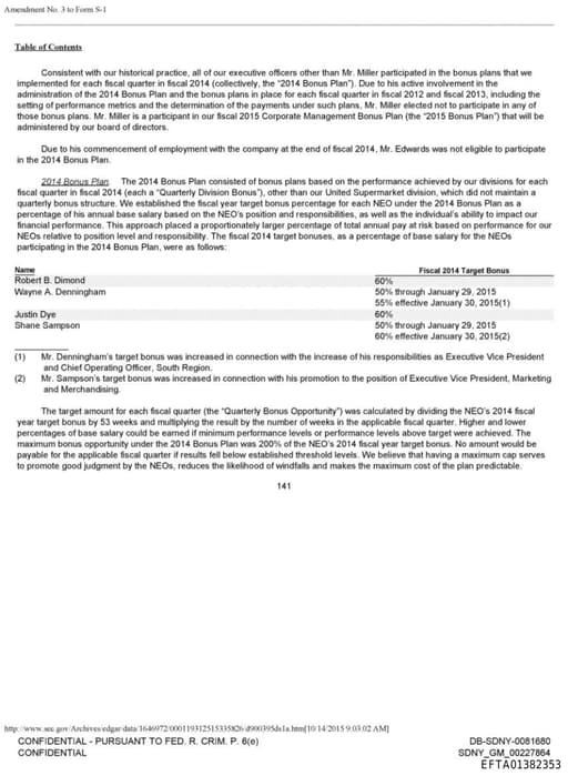
nsibility. The fiscal 2014 target bonuses, as a percentage of base salary for the NEOs participating in the 2014 Bonus Plan, were as follows: Name Robert B. Dimond Wayne A. Denningham Justin Dye Shane Sampson (1) (2) Fiscal 2014 Target Bonus 60% 50% through January 29, 2015 55% effective January 30, 201
EFTA01382345
industry at several chains. including roles as Vice President of Merchandising and Marketing and President of numerous Albertson's, Inc. divisions. Robert B. Dimond, Executive Vice President and Chief Financial Officer. Mr. Dimond has been our Chief Financial Officer since February 2014. Prior to joining our com
EFTA01382362
LTIP II Bonus Name Fiscal Year (5) (5) (5) Robert G Miller 2014 — 4,344,067 7.990.112 2013 — 6,750 375,000 2012 — 340.037 375,000 Robert B. Dimond 2014 664,482 — — Wayne A. Denningham 2014 371,551 1,086.017 7,191,101 2013 271,700 1.688 337,500 2012 190,590 85.009 337,500 Justin
EFTA01382361
715,037 118,554 2,033,591 Robert L. Edwards 2014 127,404 — 74.070.335 17.201 74.214.9410 Former President and Chief Executive Officer(8) Robert B. Dimond 2014 713,462 625,000 664,482 11,676 2,014,620 Executive We President and Chief Financial Officer(9) Wayne A. Denningham 2014 387.500 275,
EFTA01382365
on Exercise (S) Vesting (#)(1) Vesting (S)(2) Lai (b) (c) (d) (e) Robert G. Miller — — 440.242 3,383,335 Robert L. Edwards — — — — Robert B. Dimond — — — — Wayne A. Denningham — — — — Justin Dye — — 440,242 3.383,335 Shane Sampson — — — — 1. Represents the vesting of Class C Un
EFTA01382366
ISM) ($)(2) ($)(3 Is) (S) (b) (c) 4:g (e) D__. Robert G. Miller 2,005,777 475,446 94,978 — 4,248,619 Robert L. Edwards — — — — — Robert B. Dimond 90,124 — 6,740 — 93,561 Wayne A. Denningham 623,847 311,313 76,847 — 1,546,602 Justin Dye 828,946 396,770 114,871 — 2,623,377 Shane
EFTA01382356
e Director and Consultancy Agreement which superseded the Edwards Employment Agreement. See "Certain Relationships and Related Party Transactions." Robert B. Dimond and Justin Dye During fiscal 2014, Messrs. Dimond and Dye were parties to employment agreements with AB Management Services Corp. and NAI, respecti
EFTA01382559
rt G. Miller (Principal Executive Officer) Is/ Robed B. Dimond Executive Vice President and Chief Financial Officer (Principal October 2, 2015 Robert B. Dimond Financial Officer) /s/ Robert B. Larson Senior Vice President, Chief Accounting Officer (Principal Accounting October 2, 2015 Robert B. Larson
EFTA01382560
sa A. Gray Hersch Klaff /s/ Ronald Kravit /s/ • Alan Schumacher /s/• Jay L. Schottenstein /s/ • Lenard B. Tessler /s/ Scott Wile * By Is/ Robert B. Dimond Attorney-in-Fact Title Date Director October 2, 2015 Director October 2, 2015 Director October 2, 2015 Director October 2, 2015 Director

Justin Trudeau
Person23rd prime minister of Canada from 2015 to 2025
Shane Sampson
PersonPerson referenced in documents
Justin Dye
PersonPerson referenced in documents
Wayne A. Denningham
PersonPerson referenced in documents

Bradley Edwards
PersonAmerican attorney who represented Epstein victims, author of Relentless Pursuit

Safeway
OrganizationAmerican supermarket chain
Robert G. Miller
PersonPerson referenced in documents
Denningham
PersonSurname reference in documents
Sampson
PersonSurname reference in Epstein-related documents
Dimond
PersonSurname reference in documents
Robert L. Edwards
PersonPerson referenced in documents
Jewel-Osco
OrganizationOrganization referenced in documents

Alan Dershowitz
PersonAmerican lawyer, author, and art collector (born 1938)

Corporate Development
OrganizationThe activity of developing new business models, revenue streams etc in a company
Courtney Wild
PersonAmerican victim/survivor of Jeffrey Epstein who led legal battle for victims' rights
Justin Ewing
PersonName reference in documents
Jay L. Schottenstein
PersonName reference in documents
Scott Wile
PersonName reference in documents
Robert A. Gordon
PersonName reference in documents