18
Total Mentions
18
Documents
131
Connected Entities
Name reference from legal documents or records
EFTA00075562
Amount Unknown Amounts to Be Determined Amount to Be Determined Respectfully submitted, BLIN, ESQ. WILLIAM L LUNI, ESQ. MARJORIE WHALEN, ESQ. SHARI D'ANDRADE, ESQ. Kellerhals Ferguson Kroblin PLLC 9053 Estate Thomas, Ste 101 St. Thomas, VI 00802 EFTA00075563 I. DARREN K INDKE, coact:mit sta
EFTA00082467
Unknown Amounts to Be Determined Amount to Bc Determined Respectfully submitted, P KROBLIN, ESQ. WILLIAM L BLUNI, ESQ. MARJORIE WHALEN, ESQ. SHARI D'ANDRADE, ESQ. Kellerhals Ferguson Kroblin PIJ.0 EFTA00082468 I, DARREN K. INDYKE, CO-EXECUTOR BEM FIRST MALY SWORN DEPOSE AND SAY THAT TO DE D
EFTA01369118
1.93 OUTHERN FINANCIAL D 7,019,583.45 SOUTHERN TRUST COMPANY, INC. D 201,460.85 SSW 2007 LLC D 287,237.92 KWF 2007 LLC D 2,753,356.69 SHARI WAGNER 2014 GRAT D 289,155.97 KATI FORSYTHE 2014 GRAT D 2,751,837.42 CRW 2009 LLC D 251,903.10 GEW 2009 LLC D 251,912.41 2017 CATERP
EFTA01373134
AGNER 2015 GRAT FOR LEAH M C 100,000.00 SHARI WAGNER 2015 GRAT FOR MARA WAGNE C 100,000.00 SHARI WAGNER 2012 IRREVOCABLE TRUST C 1,000,000.00 SHARI IRREVOCABLE TRUST C 1,000,000.00 RM CODE 05/21/19 LARGE, ZERO AND NEGATIVE BALANCES ACCT # NAME CAT SHARI WAGNER 2012 IRREVOCABLE TRUST C
EFTA01376665
STEVEN D. FORSYTHE D 103,677.02 31 CAITLIN A. FORSYTHE D 103,677.02 58 KATI WANEK-FORSYTHE D 357,859.28 74 CAMERON WANEK D 183,189.90 02 SHARI WAG4tR 2015 GRAT FOR LEAH M D 154,133.29 10 SHARI WAGNER 2015 GRAT TRAVIS T. WAGN D 154,133.29 37 SHARI WAGNER 2015 GRAT FOR MARA WAGNE D 154,1
EFTA01376897
TRAVIS WAGNER IN TRAVIS WAGNER SHARI WAGNER SHARI WAGNER SHARI WAGNER SHARI WAGNER SHARI WAGNER SHARI WAGNER SHARI WAGNER SHARI WAGNER SHARI WAGNER SHARI WAGNER SHARI
EFTA01378575
JEFFREY EPSTEIN N 2,143,029.35 NANCY AND MICHAEL DEVANE, D .00 ALI RASHID D 137,301.23 KATI WANEK-FORSYTHE D .00 CAMERON WANEK D .00 SHARI WAGNER D .00 THE JOCKEY CLUB N 282,409.74 THE JOCKEY CLUB SAFETY NET FOUNDATION N 141,328.13 THE GRAYSON JOCKEY CLUB N 380,572.20
EFTA01381761
.93 SOUTHERN FINANCIAL LLC D 7,019,583.45 SOUTHERN TRUST COMPANY, INC. D 201,460.85 SSW 2007 LLC D 287,237.92 KWF 2007 LLC D 2,753,356.69 SHARI WAGNER 2014 GRAT D 289,155.97 KATI FORSYTHE 2014 GRAT D 2,751,837.42 CRW 2009 LLC D 251,903.10 GEW 2009 LLC D 251,912.41 THE 2017 CAT
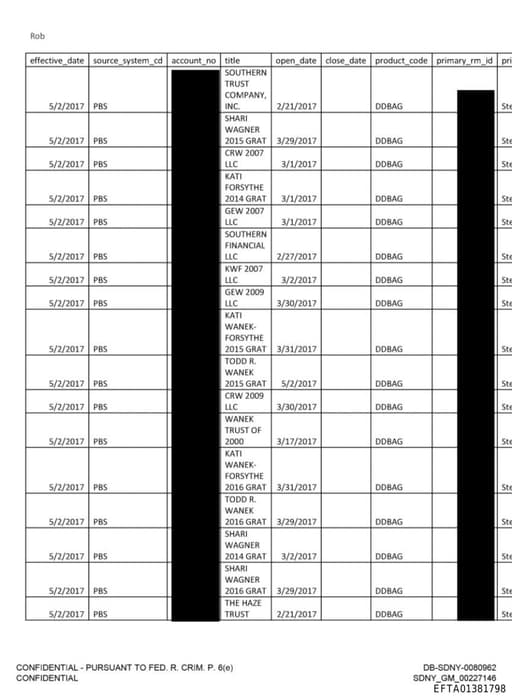
EFTA01381798
t no title open_date close date product code primary_rm_id pri 5/2/2017 PBS SOUTHERN TRUST COMPANY, INC. 2/21/2017 DDBAG Ste 5/2/2017 PBS SHARI WAGNER 2015 GRAT 3/29/2017 DDBAG Ste 5/2/2017 PBS CRW 2007 LLC 3/1/2017 DDBAG Ste 5/2/2017 PBS KATI FORSYTHE 2014 GRAT 3/1/2017 DDBA
EFTA01459506
ED HOOK QUARTER, B3ST TH 00802UNITED STATES VIRGIN ISLANI SSW 2007 LLC Paul Morris $ 7,500,000.00 1 81851 82211 THE RONALD AND JOYCE GRAT TRU5 SHARI WAGNER840 119TH AVENUE TREASURE ISI FL 33706 SHARI WAGNER 2014 GRAT Paul Morris 7,500,000.00 1 81851 82211 100 NORTH TAMPA STREETSUITE 40
EFTA01459509
ARTER, B3ST TN, 00802UNITED STATES VIRGIN ISLANI 88005809 SSW 2007 LLC Paul Morris $ 7,500,000.00 1 81851 82211 THE RONALD AND JOYCE GRAT TRW SHARI WAGNER840 119TH AVENUE TREASURE 151 FL 33706 88005833 SHARI WAGNER 2014 GRAT Paul Morris $ 7,500,000.00 1 81851 82211 100 NORTH TAMPA ST
EFTA01475892
GE, INC JEGE, LLC NES, LLC ZORRO DEVELOPMENT CORP. LSJE, LLC SOUTHERN TRUST COMPANY, INC. WANEK TRUST OF 2000 ACCT 1 44135724 SHARI 88005833 SHARI NAME WAGNER 2014 GRAT WAGNER 2014 GRAT N 1,133,108.26 M .00 M 2,012,994.56 D 139,471.98 D 462,470.13 D 146,395.95 D 164,789.71 D 1
EFTA01476810
A, LTD Activity Summary(USD) Activity Summary(USD) Account :- Account Name:KATI FORSYTHE 2014 GRAT Activity Summary(USD) Account :- Account Name:SHARI WAGNER 2014 GRAT Activity Summary(USD) Account :- Account Name:KWF 2007 LLC Activity Summary(USD) LLC Transaction Summary Opening Balance 0.0
EFTA00087286
sy copy sent by email to counsel of record on February I I, 2020 to: CHRISTOPHER ALLEN KROBLIN, ESQ. ANDREW W. HEYMANN, ESQ., WILLIAM BLUM, ESQ. SHARI D'ANDRADE, ESQ. MARJORIE WHALEN, ESQ. KELLERHALS FERGUSON KROBLIN PLLC Email EFTA00087289 Exhibit 1 EFTA00087290
EFTA00087372
sy copy sent by email to counsel of record on February I I, 2020 to: CHRISTOPHER ALLEN KROBLIN, ESQ. ANDREW W. HEYMANN, ESQ., WILLIAM BLUM, ESQ. SHARI D'ANDRADE, ESQ. MARJORIE WHALEN, ESQ. KELLERHALS FERGUSON KROBLIN PLLC Email: EFTA00087375 Exhibit 1 EFTA00087376
EFTA01272870_sub_001 - EFTA01272870_100
w Nose Larry LW ea Crtd rip Wok there ss it wee On yn.e iialeavort <Wit ...so • A Ls A fa Pueso Oro: Tr dee* Petal Raraiii)notesiovn FO Bo 914S SHARI PR core 9b16 Fa USW Fu gm Fitst(Let T widest PO Sox 119600 FM Bs OS Si.Thaw, LI OMB Rood Tam Tortola BO Inane Soiram Cab x fealinc Sown Co
EFTA01477146_sub_001 - EFTA01477146_100
2,005 2,004 2,004 2,003 2,003 2,003 lassic EFTA01477208 2,003 2,002 2,002 2,002 2,002 2,001 2,001 2,000 2,000 KWF 2007 LLC 2,005 SHARI WAGNER 2014 Classic Advisory 0 0 0 0 0 0 0 0 0 0 0 0 7,500 7,500 7,500 2,004 7,500 9,504 9,504 2,014 35,000 37,014 37,014
EFTA01477146_sub_002 - EFTA01477146_180
0 0 0 0 0 0 0 0 Classic Advisory 1 12,503 1 12,503 0 1 1 1 1 0 1 1 1 0 2,000 0 2,000 KWF 2007 LLC 0 1 1 1 1 0 1 1 1 SHARI EFTA01477319 WAGNER 2014 GRAT Advisory 0 0 0 0 0 0 0 0 0 0 0 0 0 7,500 7,500 -7,499 7,500 0 0 0 0 0 0 0 0 0 0 0 0

WAGNER
OrganizationOrganization referenced in documents
WANEK
OrganizationOrganization referenced in documents

Jeffrey Epstein
PersonAmerican sex offender and financier (1953–2019)
Darren Indyke
PersonAmerican lawyer, longtime personal attorney and co-executor of Jeffrey Epstein's estate
SHARI WAGNER
PersonIndividual referenced in CBP FOIA documents related to Epstein
TODD R. WANEK
PersonAmerican billionaire businessman, president and CEO of Ashley Furniture Industries. Son of chairman Ronald G. Wanek. Net worth estimated at $3.7 billion.
KATI FORSYTHE
PersonIndividual referenced in CBP FOIA documents related to Epstein
Southern Trust Company
OrganizationSouthern Trust Company Inc., Epstein-controlled company in US Virgin Islands that received EDC tax exemptions totaling $73.6 million

George W. Bush
PersonPresident of the United States from 2001 to 2009
MARJORIE WHALEN
PersonPerson referenced in documents
HBRK Associates
OrganizationHBRK Associates Inc., firm registered to Epstein accountant Richard Kahn, alleged to have facilitated payments in Epstein enterprise

Sarah Ferguson
PersonBritish writer, charity patron, public speaker, film producer and television personality, and former duchess of York
JEGE, Inc.
OrganizationJeffrey Epstein entity (JEGE, Inc.)
Ferguson Kroblin
PersonAttorney and co-founder of Kellerhals Ferguson Kroblin, Epstein's USVI law firm
Neptune
OrganizationEntity referenced in documents
LTD M
OrganizationOrganization referenced in documents
WANEK TRUST
OrganizationWanek Trust, entity appearing in Epstein financial documents

Ghislaine Maxwell
PersonBritish socialite and sex trafficker, daughter of Robert Maxwell, accomplice of Jeffrey Epstein

Paul Morris
PersonAmerican private wealth banker, Managing Director at Deutsche Bank and later Merrill Lynch, managed Jeffrey Epstein's banking accounts

Puerto Rico
LocationUnincorporated territory of the United States of America