24
Total Mentions
24
Documents
121
Connected Entities
Person referenced in documents
EFTA01282264
gative results from the database searches indicated above: JEFFREY EPSTEIN: RDC Alert # I - Cleared & APPROVED by Chip Packard, AM. Compliance, and Pat Harris PCR Alert * 1/2 - Not out dent Al Cases Closed SOUTHERN FINANCIAL LLC: No negative media No court cases SOUTHERN TRUST INC: No negative media
EFTA01283800
ative results from the database searches Indicated above: JEFFREY EPSTEIN: ROC Alert a I •- Cleared & APPROVED by Chip Packard, AM. Compliance, and Pat Harris PCR Alert 91/2 — Not ow client Al Cases Closed SOUTHERN FINANCIAL 1.1e. No negative media No court cases SOUTHERN TRUST INC: No negative media
EFTA01284127
l JEANNE BRENNAN: Jeanne was previously approved In KYC JEFFREY EPSTEIN: ROC Alert S 1 - Cleared & APPROVED by Chip Packard, APR Compliance, and Pat Harris PCR Alert 9 1/2 -- Not our client Al Cases Closed SOUTHERN FINANCIAL U.C: No negative media No court cases SOUTHERN TRUST INC: No negative med
EFTA01283935
NE BRENNAN: Jeanne was previously approved In KYC *01141315 JEFFREY EPSTEIN: ROC Merl 11 - Cleared & APPROVED by Chip Packard, APL Compliance, and Pat Harris PCR Alert 11/2 -- Not our cileM Al Cases Closed SOUTHERN FINANCIAL LLC: No negative media No court cases SOUTHERN TRUST INC: No negative media
EFTA01295042
BRENNAN: Jeanne was previously approved in KYC #01141315 JEFFREY EPSTEIN: RDC Alert *I -- Cleared & APPROVED by Chip Packard, AML Compliance, and Pat Harris PCR Alert #1/2 -- Not our client All Cases Closed SOUTHERN FINANCIAL LLC: No negative media 0. No court cases SOUTHERN TRUST INC: No negative
EFTA01299097
rmation also captured in RDC alert re: solication of prostitutes which has already been escalated to and approved by Chip Packard AML Compliance and Pat Harris. Armen Brash KYC Checklist Epstein Southern CONFIDENTIAL — PURSUANT TO FED. R. CRIM. P. 6(e) For internal use only CONFIDENTIAL Approval Date:
EFTA01299082
gative results from the database searches indicated above: JEFFREY EPSTEIN: RDC Alert *1 -- Cleared & APPROVED by Chip Packard, AML Compliance, and Pat Harris KR Alert *1/2 -- Not our client All Cases Dosed SOUTHERN FINANCIAL LLC: No negative media No court cases SOUTHERN TRUST INC: No negative media
EFTA01299130
dicated above: HARRY BELLER: Approved In KYC #01133624 JEFFREY b.'s' tIN: ROC Alert #1 -- Cleared & APPROVED by Chip Packard, AML Compliance, and Pat Harris KR Alert *I/2 -- Not our client All Cases Closed SOUTHERN FINANCIAL LLC: No negative media No court cases SOUTHERN TRUST INC: D. No negative m
EFTA00166833
indkated above: HARRY BELLER: Approved in KYC 201131624 JEFFREY EPSTEIN: ROC Alert 21 -- Cleared & APPROVED by Chip Packard, Alt Compliance, and Pat Harris PCR Alert it I/2 -- Not our client All Cases Closed SOUTHERN FINANCIAL LLC: No negative media No court cases SOUTHERN TRUST INC: No negative m
EFTA00166741
gative results from the database searches indkated above: JEFFREY EPSTEIN: RDC Alert • I -- Cleared & APPROVED by Chip Packard, Alt Compliance, and Pat Harris PCR Alert a 1/2 -- Not our client All Cases Closed SOUTHERN FINANCIAL LLC: No negative media No court cases SOUTHERN TRUST INC: No negative me
EFTA00166898
BRENNAN: Jeanne was previously approved In KYC #0114L315 JEFFREY EPSTEIN: ROC Alert t I -- Cleared & APPROWD by Chip Packard, APIL Compliance, and Pat Harris PCR Alert S I/2 -- Not our client All Cases Closed SOUTHERN FINANCIAL LLC: No negative media No court cases SOUTHERN TRUST INC: No negative me
EFTA00167090
E BRENNAN: Jeanne was previously approved in KYC /01101315 JEFFREY EPSTEIN: ROC Alert *I -- Cleared & APPROVED by Chip Packard, Ads Complance, and Pat Harris PCR Alert 0 112 — Not our client All Cases Closed SOUTHERN FINANCIAL LLC: No negative media No court cases SOUTHERN TRUST INC: No negative med
EFTA00169096
y negative resters from the database searches indkated above: JEFFREY EPSTEIN: RDC Men • I -- Dared & APPROVED by Chip Packard, Ali Compliance, and Pat Harris PCR Alert a 1/2 -- Not our client All Cases Closed SOUTHERN FINANCIAL LLC: No negative media No court cases SOUTHERN TRUST INC: No negative me
EFTA00169108
egative results from the database searches indkated above: JEFFREY EPSTEIN: ROC Alert • I -- Oeared & APPROVED by Chip Packard, Ali Compliance, and Pat Harris PCR Alert a 1/2 -- Not our client All Cases Closed SOUTHERN FINANCIAL LLC: No negative media No court cases SOUTHERN TRUST INC: No negative me
EFTA01356247
YC JEANNE BRENNAN: Jeanne was previoushi approved in KYC JEFFREY EPSTEIN: RDC Alert e t - Cleared & APPROVED by Chip Packard. AML Compliance, and Pat Harris PCR Men II 1/2 -- Not our client Al Cases Closed SOUTHERN FINANCIAL LLC: No negative media No court cases SOUTHERN TRUST INC: No negative medi
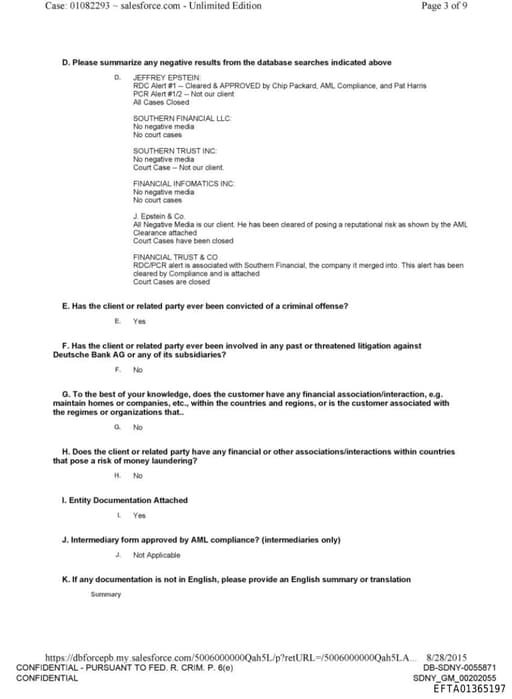
EFTA01360421
tive results from the database searches indicated above G. JEFFREY EPSTEIN: RDC Alert #1 — Cleared & APPROVED by Chip Packard. AML Compliance, and Pat Harris PCR Alert #1/2 — Not our client All Cases Closed SOUTHERN FINANCIAL LLC: No negative media No court cases SOUTHERN TRUST INC: No negative medi
EFTA01360428
BRENNAN: Jeanne was previously approved in KYC #01141315 JEFFREY EPSTEIN: RDC Alert #1 -- Cleared & APPROVED by Chip Packard. AML Compliance, and Pat Harris PCR Alert #112 — Not our client All Cases Closed SOUTHERN FINANCIAL LLC: No negative media No court cases SOUTHERN TRUST INC: No negative medi
EFTA01360975
# 01082293: has been assigned to you. [C] Classification: Confidential Hi Can you send me Chip's approval to onboard; we still need to escalate to Pat Harris regarding the felony.... Thanks. Best. Armen Armen Brash Deutsche Asset a Wealth Management Anti-Money Laundering Business Pak PttfecierK1117
EFTA01365150
YC JEANNE BRENNAN: Jeanne was previously approved in KYC JEFFREY EPSTEIN: RDC Alert #1 -- Cleared & APPROVED by Chip Packard. AML Compliance, and Pat Harris PCR Alert #1/2 — Not our client All Cases Closed SOUTHERN FINANCIAL LLC: No negative media No court cases SOUTHERN TRUST INC: No negative medi
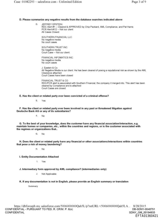
EFTA01365197
tive results from the database searches indicated above G. JEFFREY EPSTEIN: RDC Alert #1 — Cleared & APPROVED by Chip Packard. AML Compliance, and Pat Harris PCR Alert #1/2 — Not our client All Cases Closed SOUTHERN FINANCIAL LLC: No negative media No court cases SOUTHERN TRUST INC: No negative medi

Jeffrey Epstein
PersonAmerican sex offender and financier (1953–2019)
J. Epstein & Co.
OrganizationAmerican-British sculptor (1880–1959)

Dow Jones
OrganizationAmerican publishing and financial information company
Martindale-Hubbell
OrganizationAmerican legal information services company (misclassified as PERSON)

Eric Holder
PersonUnited States Attorney General from 2009 to 2015
Southern Trust Company
OrganizationSouthern Trust Company Inc., Epstein-controlled company in US Virgin Islands that received EDC tax exemptions totaling $73.6 million

Paul Morris
PersonAmerican private wealth banker, Managing Director at Deutsche Bank and later Merrill Lynch, managed Jeffrey Epstein's banking accounts

Les Wexner
PersonAmerican billionaire, chairman and CEO of the L Brands

Financial Trust Company
OrganizationFinancial Trust Company (FTC), Epstein-controlled financial services company that received over $490 million in fees between 1999-2018

Deutsche Bank
OrganizationGerman global banking and financial services company

the Office of Foreign Assets Control
OrganizationU.S. Treasury Office of Foreign Assets Control

U.S. Virgin Islands
LocationUnincorporated territory of the United States of America
Trustee/Co-Trustee
OrganizationOrganization referenced in documents
Harry Beller
PersonEpstein's financial adviser and accountant, managed wire transfers

Paul Volcker
PersonAmerican economist (1927-2019)
Jeanne Brennan
PersonIndividual referenced in Epstein documents

St Thomas
LocationOne of the main islands of the United States Virgin Islands
the AML Clearance
OrganizationOrganization referenced in documents
Deutsche Bank Americas New York
OrganizationDeutsche Bank Americas operations in New York
Darren Indyke
PersonAmerican lawyer, longtime personal attorney and co-executor of Jeffrey Epstein's estate