7
Total Mentions
7
Documents
18
Connected Entities
Organization referenced in documents
EFTA00727366
Telt ithon Pax: Date: October 21, 2010 Patient: Jeffrey Epstein (Email: • Try of the following herbal nighttime sleep aids: o MyoCalm PM by Metagenics; 3 at bedtime, or o Deep Sleep by Herbs Etc.; 3 at bedtime • Send me copies of your MRI reports and other labs done in the last year • See me fo
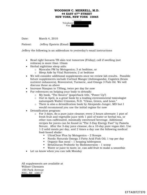
EFTA00727370
ead right forearm TB skin test tomorrow (Friday); call if swelling (not redness) is more than 10mm • Herbal nighttime sleep aids: o Myocalm PM by Metagenics; 3 at bedtime, or o Sleep Aide by Vital Nutrients; 2 at bedtime • We will consider additional supplements once we review lab results. Possible fu
EFTA00727374
gue), 1 per day • Because of high homocysteine and absence of both MTHFR C6 folic acid enzymes, begin (folinic acid form of folic acid) FolaPro by Metagenics; 1 per day • Avoid extra vitamin D intake due to normal level (42) and high calcium • I don't believe I mentioned it today; heavy metals (mercur
EFTA00727372
ead right forearm TB skin test tomorrow (Friday); call if swelling (not redness) is more than 10mm • Herbal nighttime sleep aids: o Myocalm PM by Metagenics; 3 at bedtime, or o Sleep Aide by Vital Nutrients; 2 at bedtime • We will consider additional supplements once we review lab results. Possible fu
EFTA00524158
reventively/immediately upon exposure (ie for travel). • For Specific Symptoms: a. Sinus Blockage: add a decongestant. Try herbal Nazonal first (by Metagenics; has no pseudophedrine or other stimulants), then Sudafed (can be too drying/stimulating for some). b. For Chest and/or Sinus Congestion: i. Use a
EFTA00587010
eric-coated baby aspirin every 1 to 2 days o Because of partial folic acid enzyme converting deficiency (MTHFR), take FolaPro form of folic acid by Metagenics; 1 twice a week o Nordic Naturals Omega 3 Fatty Acid Fish Oil; 1 capsule twice a day or 2 capsules once a day (approx 800 mg OPA/DHA) o Magnesium
EFTA00587631
d homocysteine: o For now while in Europe, use a generic B complex; 50mg once daily o When back in NY, resume added FolaPro brand of folic acid by Metagenics; 1 daily • Because of slightly elevated blood sugar screening test (hemoglobin Alc), avoid as much as possible all refined carbohydrates from you
WOODSON C. MERRELL
PersonPerson referenced in documents

Jeffrey Epstein
PersonAmerican sex offender and financier (1953–2019)
Willner Chemists
OrganizationOrganization referenced in documents
FolaPro
OrganizationOrganization referenced in documents
VitaHealth
OrganizationOrganization referenced in documents

Turmeric
PersonName reference in documents
Walter Crinnion
PersonName reference in documents
Alenjando Junger
PersonName reference in documents
Vital Nutrients
OrganizationOrganization referenced in documents
Cortisol Manger
OrganizationOrganization referenced in documents
Ashwaganda
OrganizationOrganization referenced in documents
Biolmmersion - 1
OrganizationOrganization referenced in documents
Cognitex
LocationLocation referenced in documents
Scott Berliner
PersonName reference in documents
Life Science Pharmacy
OrganizationOrganization referenced in documents

Samantha Power
PersonIrish-American academic, author and diplomat

Condoleezza Rice
PersonAmerican diplomat and political scientist (born 1954)

Green
PersonNER artifact: Primarily extracted from Steve Hanson email signature about Green Restaurant Association certification