38
Total Mentions
38
Documents
19
Connected Entities
Person referenced in documents
EFTA00727229
010 at 5:14 PM Reply-To: To: Je vacation [email protected]>, Darren Indyke < > Fyi Sent from my BlackBerry@ wireless handheld From: "Poland, Marc B SIK" Date: Tue, 20 Apr 2010 12:39:36 -0400 To: aMMI>: cr >; cr >; Whittaker, Raymond V SIK IMMEM>: Germon, Howard H SIKla Cc: <IM EM-; Carroll, Gre
EFTA00733082
From: Jeffrey Epstein <[email protected]> To: lvjet Cc: "Poland, Marc B SIK" Subject: Date: Sat, 24 Apr 2010 21:54:52 +0000 can you scan the part of the original d contract and send to mark„ or , at least today , to be foll
EFTA00733081
From: Jeffrey Epstein <[email protected]> To: "Poland, Marc B SIK" Subject: Re: Date: Sat, 24 Apr 2010 21:49:25 +0000 LARRY JUST CHECKED , AND I WAS RIGHT, On Sat, Apr 24, 2010 at 5:39 PM, Poland, Marc B SIK < w
EFTA00733141
From: Jeffrey Epstein <[email protected]> To: "Poland, Marc B SIK" Cc: lvjet Subject: Date: Sun, 25 Apr 2010 20:43:34 +0000 I am very disturbed by the unreliability of 750 to date. the radars have been replaced tw
EFTA00736058
lculation as soon as I get it — anticipated to be within the afternoon. Marc From: Darren Indyke Sent: Monday, June 28, 2010 11:07 AM To: Poland, Marc B SIK Subject: Re: Test Wire mailto: I have verified that the test wire worked. Please let me know when you will be wiring so that I can have our peopl
EFTA00745398
on as I get it — anticipated to be within the afternoon. EFTA00745398 Marc From: Darren Indyke Sent: Monday, June 28, 2010 11:07 AM To: Poland, Marc B SIK Subject: Re: Test Wire mailto: I have verified that the test wire worked. Please let me know when you will be wiring so that I can have our peopl
EFTA00747295
From: Jeffrey Epstein <[email protected]> To: "Poland, Marc B SIK" Subject: Fwd: Fw: 750 Date: Wed, 24 Mar 2010 20:31:15 +0000 Forwarded message --- From: <IMIn Date: Wed, Mar 24, 2010 at 4:21 PM Subject: Fw:
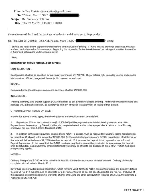
EFTA00747318
From: Jeffrey Epstein <jeevacation(i?gmail.com> To: "Poland, Marc B SIK" Subject: Re: Summary of Terms Date: Thu, 25 Mar 2010 15:04:11 +0000 the real terms of the d and the back up to both c++ and d have yet to be provi
EFTA00747322
From: Jeffrey Epstein <[email protected]> To: "Poland, Marc B SIK" Cc: "Germon, Howard H SIK" Subject: Re: Pricing Trail Date: Thu, 25 Mar 2010 15:46:48 +0000 It is much simpler „ I contracted for 750 for 11 750.
EFTA00747343
From: Jeffrey Epstein <[email protected]> To: "Poland, Marc B SIK" Subject: Date: Fri, 26 Mar 2010 11:09:12 +0000 You can find out from george if his buyer/ close fren . will pay more , george will take less. , i
EFTA01825422
To: Poland Marc B SIK Cc: Ivjetin Fran: Jeffrey Epstein Sent Wed 3/24/2010 11:13:58 AM Subject: Re: I I when would i get it green and completed// i recall 12.1 plu
EFTA01825457
Thank you. Marc B. Poland Commercial Director Sikors Global Helicopters tel fax From: Imailto Sen •Mn •Mrh 22 2010 II:43 AM To: • Poland, Marc B SIK Subject: Fwd: fonvard on to george and mark Jeffrey ask me to Forward this to you Marc, thanks. Larry EFTA_R1_00199947 EFTA01825458 The infor
EFTA01825476
To: Poland Marc B SIK Cc: Ivjeti From: Jeffrey Epstein Sent Sun 3/28/2010 4:48:44 PM Subject Re: I I its both this week . or none.. sorry On Sun, Mar 28, 2010 at
EFTA01825584
y line option yes or no is needed On Tue, Mar 30, 2010 at 7:09 AM, c wrote: From Marc; Sent from my BlackBerry@ wireless handheld From: "Poland, Marc B SIK" ‹ > Date: Mon 29 Mar 2010 23:15:11 -0400 To: •MI > Cc: Germon, Howard H SIK< > Subject: Re: D model Coming off of the 12.9 offer, I can get to
EFTA01825658
To: Poland, Marc B SIK From: Jeffrey Epstein Sent Tue 3/30/2010 11:54:47 AM Subject: Re: Fw: D model tarry please provide mare your calculation. in response On Tue,
EFTA01826857
te: Marc is asking if we arc done? Wants to know if there is a counter offer. Sec below Sent from my BlackBerryt wireless handheld From: "Poland, Marc B SIK" DM • M n 29 M r 2010 15:111.1” .. To: Subject: Re: D model Are we done or is Jeffrey still contemplating a counter? Marc Poland Sikorsk Global
EFTA01826939
To: Poland, Marc B SIK From: Jeffrey Epstein Sent Tue 3/23/2010 11:30:50 PM mark„ can you give me a price on a d model outfitted like 750 . this is as a substitute for
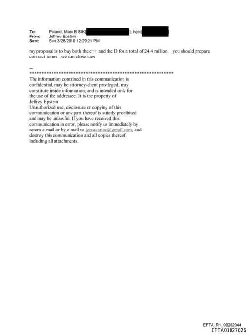
EFTA01827026
To: Poland, Marc B SIK( 11 Ivjeti From: Jeffrey Epstein Sent Sun 3/28/2010 12:29:21 PM my proposal is to buy both the c++ and the D for a total of 24.4 million. you sh
EFTA02425941
ld-up that was actually used to derive the 12.4. If there is an error, we will fix it. Marc Poland Sikorsky Global Helicopters From: To: Poland, Marc B SIK Cc: [email protected] <[email protected]> Sent: Sat Apr 24 18:08:43 2010 Subject: D contract Marc, Jeffrey wanted me to fwd the contract I
EFTA02425956
leadership to ensure attention there as well. Marc Poland Sikorsky Global Helicopters From: Jeffrey Epstein <[email protected]> To: Poland, Marc B SIK Cc: Sent: un pr 2010 Subject: I am very disturbed by the unreliability of 750 to date. the radars have been replaced twice already , and my las

Jeffrey Epstein
PersonAmerican sex offender and financier (1953–2019)
Marc Poland
PersonPerson referenced in documents
Sikorsky Global Helicopters
OrganizationOrganization referenced in documents
Marc B.
PersonPerson referenced in documents
Marc B
PersonPerson referenced in documents

Sikorsky
OrganizationAmerican helicopter manufacturer
Larry Visoski
PersonAmerican pilot who worked for Jeffrey Epstein from 1991-2019, testified as key witness in Ghislaine Maxwell trial
Darren Indyke
PersonAmerican lawyer, longtime personal attorney and co-executor of Jeffrey Epstein's estate
Howard H SIK
PersonPerson referenced in documents
George Reenstra
PersonPerson referenced in documents
Mahwah
LocationCity in New Jersey

Howard University
OrganizationUniversity in Washington D.C.

Richard Kahn
PersonJeffrey Epstein's accountant and estate co-executor (2005-present)

Marc Rich
PersonAmerican commodities trader (1934–2013)
Thx„
PersonName reference in documents
Sikorsk Global Helicopters
OrganizationOrganization referenced in documents
Mike Jones
PersonAmerican rapper
Boseheadsets
OrganizationOrganization referenced in documents

Whittaker
PersonSurname reference in Epstein-related documents