
28
Total Mentions
28
Documents
320
Connected Entities
First name reference to multiple individuals in the documents
EFTA01308033
011 trv,oshltit."129, burden my exercise of my cons' turcnal nphts would be unreasonable and would therefore maldte • tn -tt Whey Request kin '' Ramona, tar returns for all years MAT 2002 through the present %dental. Is cis ding he US constitutional privileges I mend to i ?II 60roont niesoons reg
EFTA00824072
organized. but was highly emotional rather than rational and patient. On Sun, Jul 10, 2016 at 12:49 AM, Joscha Bach < > wrote: Joi tells me that Ramona (MIT's HR person) was not happy about the idea to make a deal with the student. I suppose you discussed it. Did they feel that MIT might look too sh
EFTA00540803
, 22 Apr 2012 19:53:28 +0000 Thank you so much! I appreciate your help.. On Apr 22, 2012, at 3:10 PM. Ramona Vickers wrote: > EMIRATES AIRLINES > Ramona > Sent from my iPhone > On Apr 22, 2012, at 2:34 PM, wrote: >> CCF27102010_00000.jpeg> EFTA00540803
EFTA00557429
From: To: Ramona Date: Thu, 13 Dec 2012 15:36:06 +0000 Hi Ramona! is asking if you can look for flights for us from NC to Miami on the 25th. Thank you! EFTA00557429
EFTA00522986
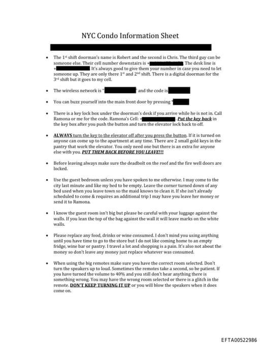
u can buzz yourself into the main front door by pressing • There is a key lock box under the doorman's desk if you arrive while he is not in. Call Ramona or me for the code. Ramona's Cell: I. Put the key back in the key box after you push the button and turn the elevator lock back to off. • ALWAYS
EFTA00522988
an buzz yourself into the main front door by pressing vim • There is a key lock box under the doorman's desk if ou arrive while he is not in. Call Ramona or me for the code. Ramona's Cell: Put the key back in the key box after you push the button and turn the elevator lock back to off. • ALWAYS tu
EFTA00542343
otherwise expressly indicated hereon. From: Brian Vickers Date: Monday, May 21, 2012 8:22 AM To: RAMONA VICKERS < Cc: Subject: Fwd: Monaco GP Ramona, > Will you contact the Columbus and make sure the room is set for check in on Wednesday and checkout on Monday. We are planning on going there We
EFTA00542338
om: Brian Vickers -4 To: Ramona Vickers -4 Cc: Subject: Fwd: Monaco GP Date: Mon, 21 May 2012 12:22:13 +0000 Inline-Images: image00 I jpg [=. Ramona, Will you contact the Columbus and make sure the room is set for check in on Wednesday and checkout on Monday. We are planning on going there Wedne
EFTA00546472
Jun 14, 2012, at 7:24 PM, wrote: So you know, we are trying to secure you on the below train. When I booked it I got the following message. I have Ramona following up with them now(we just left the track headed back to hotel) The below train is the best option for you to get from airport to LeMans, th
EFTA01595073
ltatives of sett -directed clients, or Qt. tilde porlolio rniacer5 [Icor] burs!: kVit:1 MS RECOMM ENDA litriN cFter itY• MAL DATED- EFTA01595078 Ramona. Due 1_10_43 Only %hew dates requiring a response cuctncilan AcnnuntNumber Location Option Number Option Action eTRAN+ Response Oose Date Response
EFTA02305841
From: Sent: Friday, April 20, 2012 4:56 PM To: Ramona Vickers Subject: Re: Hi Ramona, I just spoke wiand we've decided the later flight on Sunday makes t=e most sense for me to take. It's on Emirates leavin JFK at 11 m arriving D=b
EFTA02305911
From: Sent: Saturday, April 21, 2012 11:22 AM To: Ramona Vickers Subject: Re: Good morning Ramona, Just wanted to touch base to see if you have a flight confirm you can send m= for tomorrows flight? I've discovered that some of my emails are com
EFTA02305942
tute an agreement of any kind under applicable law unless > =therwise expressly indicated hereon. > On 4/21/12 7:21 AM, <-> wrote: » Good morning Ramona, » Just wanted to touch base to see if you have a flight confirm you can EFTA_R1_01180979 EFTA02305942 » send me for tomorrows flight? I've disc
EFTA02305965
rwise expressly indi=ated hereon. From: Date: Thursday, May 10, 2012 11:28 =M To: RAMONA VICKERS < Subject: Re: hi- have a question fo= you.. HI Ramona, sorry for late reply.. I always do a search first on Kayak as they usu=lly show some of the smaller local airlines that AmEx doesn't really see. =
EFTA02306167
under applicable law unless >» otherwise expressly indicated hereon. >» >» >» >» >» >» >» On 4/21/12 7:21 AM, > wrote: >» »» Good morning Ramona, »» Just wanted to touch base to see if you have a flight confirm you »» can send me for tomorrows flight? I've discovered that some of my »» emai
EFTA02306461
amona Vickers Subject: Re: Thank you so much! I appreciate your help.. On Apr 22, 2012, at 3:10 PM, Ramona Vickers wrote: > EMIRATES AIRLINES > Ramona > Sent from my iPhone > On Apr 22, 2012, at 2:34 PM, » <CCF27102010_00000.jpeg> > wrote: <?xml version="1.0" encoding="UTF-8"?> <!DOCTYPE plist
EFTA02309045
I actually saw that flight but since it was far away didn't think it was an=option. I did mention it to him but will get it done today. Thanks!! Ramona Sent from my iPhone On May 13, 2012, at 4:38 PM, wrote: > Hi Ramona! Happy Mother's Day! > I just spoke with Brian and he asked if you could ple
EFTA02310370
From: Sent: Tuesday, June 19, 2012 4:09 PM To: Ramona Vickers Subject: Re: Brian's flight to SFO > Hi Ramona, There is a chance I may not be able to go till Friday now because of work, but if that changes, I will let you know. On Jun 19, 2012, at 11:57 AM,
EFTA02310781
celand (had to connect, but at least I'm in business class) ;)=> All the best. > Ryan > On Jun 14, 2012, at 7:57 PM, Brian Vickers wrote: » Ryan. Ramona is going to rent you a car. Drive here. We will park the car=tomorrow to get good exit spot then take tram back and forth to hotel etc. T=en drive t
EFTA02458524
From: Joscha Bach Sent: Sunday, July 10, 2016 4:50 AM To: Jeffrey Epstein Subject: Forbidden Research Joi tells me that Ramona (MIT's HR person) was not happy about the idea =o make a deal with the student. I suppose you discussed it. Did they =eel that MIT might look too sh
Ramona Vickers
PersonPerson referenced in documents

Sergey Brin
PersonAmerican billionaire businessman (born 1973)

Jeffrey Epstein
PersonAmerican sex offender and financier (1953–2019)

Brian Vickers
PersonPerson referenced in documents
Office/Admin
OrganizationOrganization referenced in documents

Paul Ryan
PersonSpeaker of the United States House of Representatives from 2015 to 2019

George W. Bush
PersonPresident of the United States from 2001 to 2009

Joscha Bach
PersonCognitive scientist

Ireland
Location
John F. Kennedy
PersonPresident of the United States from 1961 to 1963 (1917–1963)

Alan Dershowitz
PersonAmerican lawyer, author, and art collector (born 1938)

Richard Branson
PersonBritish business magnate
Mahreen
OrganizationOrganization referenced in documents

Bahrain
LocationCountry in the Persian Gulf
Crestron
OrganizationOrganization referenced in documents

Prince Andrew
PersonThird child of Queen Elizabeth II and Prince Philip, Duke of Edinburgh (born 1960)

Mao Zedong
Person1st chairman of the Chinese Communist Party and founder of the People's Republic of China (1893–1976)

Prince Charles
PersonKing of the United Kingdom and other Commonwealth realms since 2022 (born 1948)

Ghislaine Maxwell
PersonBritish socialite and sex trafficker, daughter of Robert Maxwell, accomplice of Jeffrey Epstein

Harry Reid
PersonAmerican politician (1939–2021)