10
Total Mentions
10
Documents
19
Connected Entities
Organization referenced in documents
EFTA00605472
Family Partners US Trust Acct 0135 $17,816,631 $130,605,429 Trusts: 2006 Trust/LBF Hldgs US Trust Accts $30,021,145 $ 42,078,002 5824 & 5832 Black Family 1997 Trust US Trust Acct 3441 $ 318,265 $ 477,033 Black Family 1997 GST US Trust Acct 4709 $ 6,832 $ 6,832 LDB 2011 LLC JP Morgan Acct 2260 $5.250,321
EFTA00863464
effrey E." <[email protected]>, Richard Joslin Cc: Ada Clapp Highlighted #1 on attached bank statements: 10/3/12 $54,000,000 transferred from Black Family 1997 Trust to PLB LLC (80.597% interest in PLB) 10/3/12 $10,000,000 transferred from LDB 2011 LLC to PLB LLC (14.925% interest in PLB) 10/3/12 $3,000,000 tr
EFTA00863524
effrey E." <[email protected]>, Richard Joslin Cc: Ada Clapp Highlighted #1 on attached bank statements: 10/3/12 $54,000,000 transferred from Black Family 1997 Trust to PLB LLC (80.597% interest in PLB) 10/3/12 $10,000,000 transferred from LDB 2011 LLC to PLB LLC (14.925% interest in PLB) 10/3/12 $3,000,000 tr
EFTA00599517
Black Family Partners, " (per 1/8/15 letter re: Sustainable Woodlands Fund II. LP). Leon D. Black LBF Holdings LLC Judah Investment Trusts K-O Black Family 1997 Trust Leon D. Black Investment Trust A Trusts for each of the children u/a/d 11/30/92 Trusts for each of the children u/a/d 8/1/88 AIF IV Management
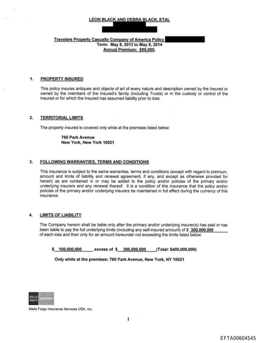
EFTA00604545
the NAMED INSUREDS are hereby amended to read as follows: Leon Black and Debra Black and/or Pent Holdings, Inc. and/or Narrows Holdings, LLC and/or Black Family 1997 Trust (Debra Black, John Hannan, Anthony Ressler, Barry Cohen, Trustees) and/or Leon D. Black Investment Trust A (Leon Black and John Hannan, Trustees) a
EFTA00696731
Feb 2015 01:45:56 +0000 Attachments: doc03963420150223203934.pdf Highlighted #1 on attached bank statements: 10/3/12 $54,000,000 transferred from Black Family 1997 Trust to PLB LLC (80.597% interest in PLB) 10/3/12 $10,000,000 transferred from LDB 2011 LLC to PLB LLC (14.925% interest in PLB) 10/3/12 $3,000,000 tr
EFTA01736076
e Debt Facility; Additional Borrowings: Interest Rate and Maturity: Certain of the following shareholders of the Borrower will be participating: Black Family 1997 Trust: Leon D. Black; Leon D. Black Trust UAD 11/30/92 FBO Joshua Black; Leon D. Black Trust UAD 11/30/92 FBO Benjamin Black; Leon D. Black Trust UAD 11/
EFTA02711198
GAGOSIAN GALLERY, INC. 980 MADISON AVENUE NEW YORK, NEW YORK 10075 Black Family 1997 Trust 9 West 57th Street New York, New York 10019 January 4, 2013 INVOICE Artist: Pablo Picasso Title: Mateu Fernandez de Soto Medium: Oil on can
EFTA02725304
/31/2009 Black Family Partners LP 5,000,000.00 5,000,000.00 0.00 02/28/2011 Loan Payable - BPF 33,000,000.00 33,000,000.00 0.00 07/31/2012 Black Family 1997 Trust 6,000,000.00 6,000,000.00 0.00 Loan Payment of Loan 10/31/2012 Due to Black Family 125,936.47 125,936.47 0.00 Partners 1.P From HAO Total
EFTA02696498
=loan repay of promissory note $164,318 transferred from LBF Acct 5832 for interest on that note $33mi1 transferred from Black Family Partners to Black Family 1997 Trust as loan Promissory note issued $54mil transferred from Black Family 1997 Trust to PLB LLC $3mil Transferred from the Black Family 1997 GST Exempt
Leon Black
PersonAmerican billionaire businessman (born 1951)

Brad Wechsler
PersonAmerican business executive, former IMAX Corporation chairman and CEO, Managing Partner of Elysium LLC (Leon Black's family office)
JMWT LLC
OrganizationFinancial services company
Elysium Management LLC
OrganizationElysium Management LLC, Leon Black family office founded in 1992, connected to Epstein through financial dealings
Eileen Alexanderson
PersonManager of Leon Black's family office, handled Epstein's accounting and financial operations
Phaidon
OrganizationNER artifact: Phaidon is Phaidon Press Ltd, a publishing company partly owned by Epstein
JMWT LLC Bank
OrganizationOrganization referenced in documents

NEW YORK NY
LocationState of the United States of America
Black Family GST 1997
OrganizationOrganization referenced in documents
Trust to PLC LLC
OrganizationOrganization referenced in documents

Jeffrey Epstein
PersonAmerican sex offender and financier (1953–2019)
John Hannan
PersonPerson referenced in documents

JPMorgan Chase
OrganizationAmerican multinational banking and financial services holding company
Black Family Partners
OrganizationFamily office or investment entity associated with Leon Black

Michael Cohen
PersonAmerican former attorney and former Republican official
Benjamin Black
PersonPerson referenced in documents
Ada Clapp
PersonIndividual referenced in Epstein documents

Pablo Picasso
PersonSpanish painter and sculptor (1881–1973)

Barry Diller
PersonAmerican businessman