55
Total Mentions
55
Documents
102
Connected Entities
Organization referenced in documents
EFTA00076703
sual depictions of nude minors that do not constitute child pornography as defined by 18 U.S.C. § 2256(8). If the Government determines that any of the Subject Devices is no longer necessary to retrieve and preserve the data on the device, and that any of the Subject Devices is not subject to seizure pursuant to F
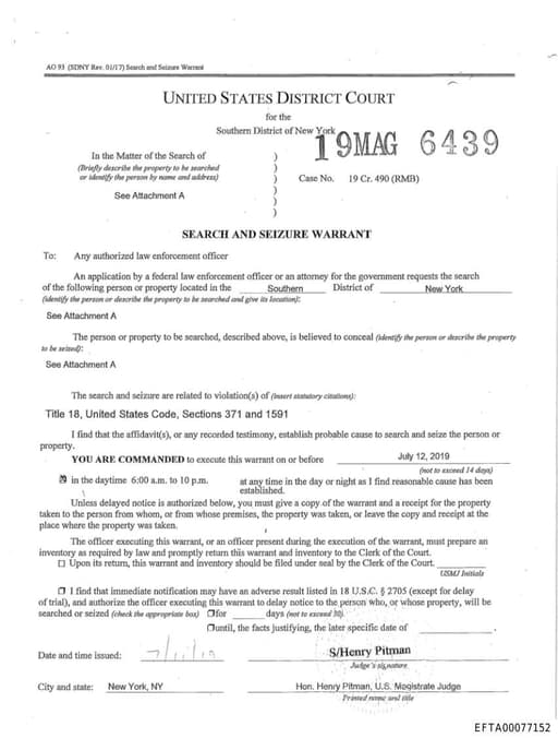
EFTA00077175
y personnel assisting the government in this investigation, and outside technical experts under government control) will create a forensic image of the Subject Devices (if practicable) and review the ESI contained therein for information responsive to the warrant, that is, for the materials specified in Section B o
EFTA00077152
y personnel assisting the government in this investigation, and outside technical experts under government control) will create a forensic image of the Subject Devices (if practicable) and review the ESI contained therein for information responsive to the warrant, that is, for the materials specified in Section B o
EFTA00079574
y personnel assisting the government in this investigation, and outside technical experts under government control) will create a forensic image of the Subject Devices (if practicable) and review the ESI contained therein for information responsive to the warrant, that is, for the materials specified in Section B o
EFTA00079833
y personnel assisting the government in this investigation, and outside technical experts under government control) will create a forensic image of the Subject Devices (if practicable) and review the ESI contained therein for information responsive to the warrant. In conducting this review, law enforcement personn
EFTA00084871
sual depictions of nude minors that do not constitute child pornography as defined by 18 U.S.C. § 2256(8). If the Government determines that any of the Subject Devices is no longer necessary to retrieve and preserve the data on the device, and that any of the Subject Devices is not subject to seizure pursuant to F
EFTA00089052
y personnel assisting the government in this investigation, and outside technical experts under government control) will create a forensic image of the Subject Devices (if practicable) and review the ESI contained therein for information responsive to the warrant. In conducting this review, law enforcement personn
EFTA00091449
y personnel assisting the government in this investigation, and outside technical experts under government control) will create a forensic image of the Subject Devices (if practicable) and review the ESI contained therein for information responsive to the warrant, that is, for the materials specified in Section B o
EFTA00091556
sual depictions of nude minors that do not constitute child pornography as defined by 18 U.S.C. § 2256(8). If the Government determines that any of the Subject Devices is no longer necessary to retrieve and preserve the data on the device, and that any of the Subject Devices is not subject to seizure pursuant to F
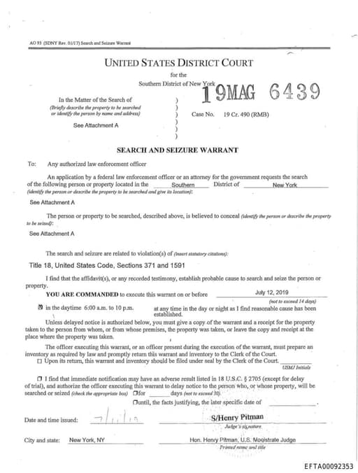
EFTA00092353
y personnel assisting the government in this investigation, and outside technical experts under government control) will create a forensic image of the Subject Devices (if practicable) and review the ESI contained therein for information responsive to the warrant, that is, for the materials specified in Section B o
EFTA00092345
y personnel assisting the government in this investigation, and outside technical experts under government control) will create a forensic image of the Subject Devices (if practicable) and review the ESI contained therein for information responsive to the warrant. In conducting this review, law enforcement personn
EFTA00095506
sual depictions of nude minors that do not constitute child pornography as defined by 18 U.S.C. § 2256(8). If the Government determines that any of the Subject Devices is no longer necessary to retrieve and preserve the data on the device, and that any of the Subject Devices is not subject to seizure pursuant to F
EFTA00097676
y personnel assisting the government in this investigation, and outside technical experts under government control) will create a forensic image of the Subject Devices (if practicable) and review the ESI contained therein for information responsive to the warrant, that is, for the materials specified in Section B o
EFTA00097857
sual depictions of nude minors that do not constitute child pornography as defined by 18 U.S.C. § 2256(8). If the Government determines that any of the Subject Devices is no longer necessary to retrieve and preserve the data on the device, and that any of the Subject Devices is not subject to seizure pursuant to F
EFTA00100427
Seized Binders contain evidence of the Subject Offenses! e. The compact discs seized by the Search Team and described in paragraphs 15(a)-(d) are the Subject Devices, and are currently stored within the Southern District of New York in containers marked with FBI evidence numbers 15, 16, 17, 18, and 22. 16. The
EFTA00100423
y personnel assisting the government in this investigation, and outside technical experts under government control) will create a forensic image of the Subject Devices (if practicable) and review the ESI contained therein for information responsive to the warrant. In conducting this review, law enforcement personn
EFTA00101044
sual depictions of nude minors that do not constitute child pornography as defined by 18 U.S.C. § 2256(8). If the Government determines that any of the Subject Devices is no longer necessary to retrieve and preserve the data on the device, and that any of the Subject Devices is not subject to seizure pursuant to F
EFTA00100937
y personnel assisting the government in this investigation, and outside technical experts under government control) will create a forensic image of the Subject Devices (if practicable) and review the ESI contained therein for information responsive to the warrant, that is, for the materials specified in Section B o
EFTA00101126
sual depictions of nude minors that do not constitute child pornography as defined by 18 U.S.C. § 2256(8). If the Government determines that any of the Subject Devices is no longer necessary to retrieve and preserve the data on the device, and that any of the Subject Devices is not subject to seizure pursuant to F
EFTA00075551
sual depictions of nude minors that do not constitute child pornography as defined by 18 U.S.C. § 2256(8). If the Government determines that any of the Subject Devices is no longer necessary to retrieve and preserve the data on the device, and that any of the Subject Devices is not subject to seizure pursuant to F
Fruits
OrganizationOrganization referenced in documents
Southern District
LocationFederal judicial district in New York City

Jeffrey Epstein
PersonAmerican sex offender and financier (1953–2019)
I. Premises
OrganizationOrganization referenced in documents

Saint James
LocationOne of the Twelve Apostles of Jesus
Unifi
OrganizationFinancial services company
Lenovo
OrganizationOrganization referenced in documents
Nikon
OrganizationOrganization referenced in documents
Barbara Moses
PersonPerson referenced in documents
B. Search
OrganizationOrganization referenced in documents

Ghislaine Maxwell
PersonBritish socialite and sex trafficker, daughter of Robert Maxwell, accomplice of Jeffrey Epstein
C. Review
OrganizationOrganization referenced in documents

George W. Bush
PersonPresident of the United States from 2001 to 2009
Henry Pitman
PersonPerson referenced in documents
Toshiba Laptop
OrganizationOrganization referenced in documents

U.S. Virgin Islands
LocationUnincorporated territory of the United States of America
Gabriel W. Gorenstein
PersonPerson referenced in documents

the United States District Court
OrganizationU.S. federal trial court with jurisdiction over federal cases
The New York Subject Devices
OrganizationOrganization referenced in documents
Seagate Backup Plus
OrganizationOrganization referenced in documents