7
Total Mentions
7
Documents
7
Connected Entities
Person referenced in documents
Jeff Brown appears in the Epstein documents primarily in connection to Bill Richardson, the former governor of New Mexico, for whom he served as counsel. He is also mentioned in the context of a legal case handled by Judge Berman involving Cameron Douglas.
Jeff Brown's name appears in emails discussing Bill Richardson and the Epstein case, suggesting he was involved in related communications. One document references a phone call with Jeff Brown regarding the JE case. Another document mentions that Jeff Brown worked with Judge Berman on the Cameron Douglas case. The mentions seem to relate to his professional capacity as counsel to Bill Richardson and a prior professional association with a judge.

Perversion of Justice: The Jeffrey Epstein Story
Julie K. Brown
Investigative journalism that broke the Epstein case open

Filthy Rich: The Jeffrey Epstein Story
James Patterson
Bestselling account of Epstein's crimes and network

Relentless Pursuit: My Fight for the Victims of Jeffrey Epstein
Bradley J. Edwards
Victims' attorney's firsthand account
the discrepancies. From: (USANYS) Sent: Wednesday, August 21, 2019 12:05 To: <1 > Cc: (USANYS) Subject: FW: Richardson Has anyone talked to Jeff Brown and is this accurate? From: (USANYS) Sent: Wednesday, August 21, 2019 12:01 PM To: (USANYS) Cc: (USANYS) [Contractor] Subject: Richardson (USA
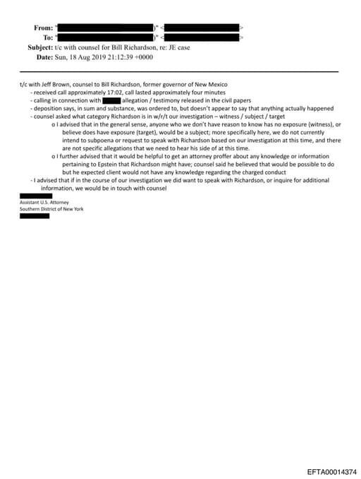
Page: EFTA00014372 →From: " " TO: " :1" Subject: t/c with counsel for Bill Richardson, re: JE case Date: Sun, 18 Aug 2019 21:12:39 +0000 tic with Jeff Brown, counsel to Bill Richardson, former governor of New Mexico - received call approximately 17:02, call lasted approximately four minutes - calling in
Page: EFTA00014374 →ddress the discrepancies. From: (USANYS) Sent: Wednesday, August 21, 2019 12:05 To: Cc: (USANYS) Subject: FW: Richardson Has anyone talked to Jeff Brown and is this accurate? From: Blase, Nicholas (USANYS) <Ma , Sent: Wednesday, August 21, 2019 12:01 PM To: (USANYS) (USANYS) Cc: Margolin, James (
Page: EFTA00028546 →andling the Epstein case and that Berman is assigned. I assume you all know this, but Judge Berman had the Cameron Douglas case, which I handed with Jeff Brown at the time, and Cameron Douglas was granted bail with various requirements that he reside in his NY apartment with 24 hr surveillance paid for by
Page: EFTA00030280 →issing something? From: (USANYS) Sent: Wednesday, August 21, 2019 12:05 PM To: < > Cc: (USANYS) Subject: FW: Richardson Has anyone talked to Jeff Brown and is this accurate? From: (USANYS) < > Sent: Wednesday, August 21, 2019 12:01 PM To: (USANYS) < >; Cc: (USANYS) [Contractor] Subject: Rich
Page: EFTA00032235 →EFTA00723105
1 A. Oakley. 12 Q. Is his first name? 13 A. Yes. 14 Q. What's his last name? 15 A. Brown. 16 Q. They — looks like theres a — was it a 17 Jeff Brown? 18 A. Yes. 19 Q. A Jeff Brown and Oakley Brown, but they're — 20 are they like stepbrothers with your dad? 21 A. My dad was a first born. He
EFTA01379901
t Normal False Normal Efficient Capital 4355 Weaver Pkwy Warrenville IL 60555 United States of America 0/0/00 0/0/00 Unspecified E.C. "Jeff Brown, Director of Due Diligence (w) Michael Marcey, MD Stategic Development managed futures It Normal False Normal FEG "201 East Fifth Street S

Jeffrey Epstein
PersonAmerican sex offender and financier (1953–2019)

Julie K. Brown
PersonAmerican journalist

Bill Richardson
PersonGovernor of New Mexico from 2003 to 2011

Public Affairs
OrganizationAcademic discipline

Alan Dershowitz
PersonAmerican lawyer, author, and art collector (born 1938)
Dechert LLP
OrganizationOrganization referenced in documents
District Court for the Southern District of New York
OrganizationU.S. District Court for the Southern District of New York