36
Total Mentions
36
Documents
14
Connected Entities
City in Aspen, Colorado
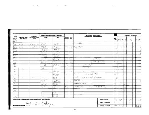
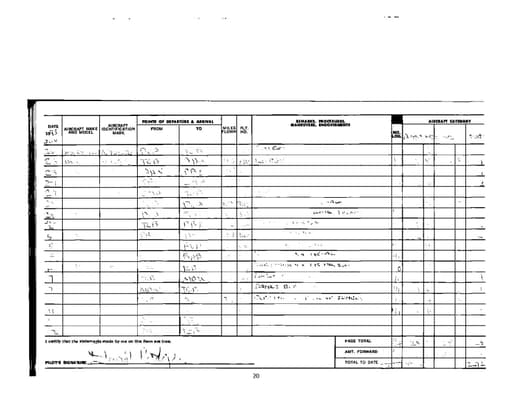
Aspen, Colorado appears in flight manifests as a frequent destination for Jeffrey Epstein's private aircraft, with 36 documented flights between 1994 and 2004, often involving Ghislaine Maxwell and other associates.
Aspen appears exclusively in flight manifest records as either a departure or arrival location for Epstein's private jets. The city was visited repeatedly during late summer and early fall months (particularly August and September), suggesting seasonal travel patterns consistent with Aspen's status as both a summer and winter resort destination. Flight logs show trips connecting Aspen to other Epstein-associated locations including Teterboro, NJ and Santa Fe, NM. Passengers on these flights frequently included Ghislaine Maxwell and Sarah Kellen, indicating Aspen was part of Epstein's regular travel circuit with his inner circle.

Perversion of Justice: The Jeffrey Epstein Story
Julie K. Brown
Investigative journalism that broke the Epstein case open

Filthy Rich: The Jeffrey Epstein Story
James Patterson
Bestselling account of Epstein's crimes and network

Relentless Pursuit: My Fight for the Victims of Jeffrey Epstein
Bradley J. Edwards
Victims' attorney's firsthand account
Aspen, CO, United States
Aspen, CO, United States
Aspen, CO, United States
Aspen, CO, United States
Aspen, CO, United States
Aspen, CO, United States
Aspen, CO, United States
Aspen, CO, United States
Aspen, CO, United States
Aspen, CO, United States
Aspen, CO, United States
Aspen, CO, United States
Aspen, CO, United States
Aspen, CO, United States
Aspen, CO, United States
Aspen, CO, United States
Aspen, CO, United States
Aspen, CO, United States
Aspen, CO, United States
Aspen, CO, United States

Jeffrey Epstein
PersonAmerican sex offender and financier (1953–2019)

Ghislaine Maxwell
PersonBritish socialite and sex trafficker, daughter of Robert Maxwell, accomplice of Jeffrey Epstein
Santa Fe, NM, United States
LocationCity in New Mexico

Sarah Kellen
PersonAmerican assistant to Jeffrey Epstein, named as unindicted co-conspirator in 2008 non-prosecution agreement
Teterboro, NJ, United States
LocationBorough in Bergen County, New Jersey
Palm Beach, FL, United States
LocationCity in Palm Beach County, Florida
Sophie Biddle
PersonPerson referenced in documents
Columbus, OH, United States
LocationCity in Ohio
Dawn Devito
PersonPerson referenced in documents
Matt Grippi
PersonPerson referenced in documents
Gary Roxburgh
PersonPerson referenced in documents
Emmy Taylor
PersonFormer assistant to Ghislaine Maxwell, appeared in Epstein flight logs and court documents
Nadia Marcinkova
PersonCommercial pilot and flying instructor
Gwendolyn Beck
PersonPerson referenced in documents