164
Total Mentions
164
Documents
54
Connected Entities
City in New Mexico
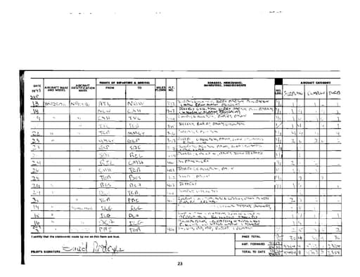
Santa Fe, NM appears 164 times in the Epstein documents exclusively as a flight destination in private jet manifests, representing travel to Jeffrey Epstein's nearby Zorro Ranch—a 7,600-acre property where multiple women alleged sexual abuse occurred.
All 164 mentions are flight manifest entries showing Santa Fe as a departure or arrival location for Epstein's private aircraft between 2001-2006. The city served as the aviation gateway to Epstein's Zorro Ranch, located approximately 30 miles southeast near Stanley, New Mexico. Epstein purchased the property in 1993 from former Governor Bruce King and built a 26,700-square-foot mansion there. Flight logs show frequent trips from locations including Teterboro, NJ and Palm Beach, FL, with passengers including Ghislaine Maxwell and Emmy Taylor.

Perversion of Justice: The Jeffrey Epstein Story
Julie K. Brown
Investigative journalism that broke the Epstein case open

Filthy Rich: The Jeffrey Epstein Story
James Patterson
Bestselling account of Epstein's crimes and network

Relentless Pursuit: My Fight for the Victims of Jeffrey Epstein
Bradley J. Edwards
Victims' attorney's firsthand account
Santa Fe, NM, United States
Santa Fe, NM, United States
Santa Fe, NM, United States
Santa Fe, NM, United States
Santa Fe, NM, United States
Santa Fe, NM, United States
Santa Fe, NM, United States
Santa Fe, NM, United States
Santa Fe, NM, United States
Santa Fe, NM, United States
Santa Fe, NM, United States
Santa Fe, NM, United States
Santa Fe, NM, United States
Santa Fe, NM, United States
Santa Fe, NM, United States
Santa Fe, NM, United States
Santa Fe, NM, United States
Santa Fe, NM, United States
Santa Fe, NM, United States
Santa Fe, NM, United States

Jeffrey Epstein
PersonAmerican sex offender and financier (1953–2019)

Ghislaine Maxwell
PersonBritish socialite and sex trafficker, daughter of Robert Maxwell, accomplice of Jeffrey Epstein
Teterboro, NJ, United States
LocationBorough in Bergen County, New Jersey
Emmy Taylor
PersonFormer assistant to Ghislaine Maxwell, appeared in Epstein flight logs and court documents
Palm Beach, FL, United States
LocationCity in Palm Beach County, Florida

Sarah Kellen
PersonAmerican assistant to Jeffrey Epstein, named as unindicted co-conspirator in 2008 non-prosecution agreement
Aspen, CO, United States
LocationCity in Aspen, Colorado
Gary Roxburgh
PersonPerson referenced in documents
Columbus, OH, United States
LocationCity in Ohio
Alberto Pinto
PersonFrench photographer and interior designer (1944–2012)
Sophie Biddle
PersonPerson referenced in documents
Las Vegas, NV, United States
LocationCity in the United States
Nadia Marcinkova
PersonCommercial pilot and flying instructor
Clare Hazell-Iveagh
PersonPerson referenced in documents
Shelley
PersonFirst name reference to multiple individuals in Epstein documents
Tiffany Gramza
PersonPerson referenced in documents
Shelley Lewis
PersonPerson referenced in documents
Shannon Healy
PersonPerson referenced in documents
Matt Grippi
PersonPerson referenced in documents
Andy
PersonFirst name reference to multiple individuals in the documents