65
Total Mentions
65
Documents
560
Connected Entities
Organization referenced in documents
: 5 Focus of Session He was seen by writer while he was on Psych Observation. Subjective/Objective Presentation He stated he hasn't slept well at MCC-NY because he hasn't had his cpap machine. He stated it is here a he will be able to start using it tonight. He discussed how he does not think he wil
Page: EFTA00032165 →EFTA00059325
: 5 Focus of Session He was seen by writer while he was on Psych Observation. Sublective/Objective Presentation He stated he hasn't slept well at MCC-NY because he hasn't had his cpap machine. He stated It Is here and he will be able to start using it tonight. He discussed how he does not think he wi
EFTA00060672
ncies in the procedures approved for Psychological Observation. 5 EFTA00060679 The Psychology Department has eliminated Psychology Observation at MCC-NY. Both Staff and the Lieutenants received additional training on when they are required to complete rounds and sign Suicide Watch log books. With re
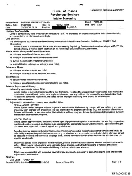
EFTA00089129
n: Self-Report, SENTRY, Staff Observation. Inmate Epstein is a 66-year-old, Black male who was seen by Psychology Services due to newly arriving at MCC-NY. He denied a history of mental health treatment on his Psychology Services Intake Questionnaire. Mental Health History and Current Symptoms No his
EFTA00089117
78318-054 5 bus of He was seen by writer while he was on Psych Observation. Subjective/Objective Presentation He stated he hasn't slept well at MCC-NY because he hasn't had his cpap machine. He stated it Is here and he will be able to start using it tonight. He discussed how he does not think he wi
EFTA00110479
ngs noted discrepancies in the procedures approved for Psychological Observation. The Psychology Department has eliminated Psychology Observation at MCC-NY. Both Staff and the Lieutenants received additional training on when they are required to complete rounds and sign Suicide Watch log books. With re
EFTA00110271
ooks are now being closely monitored on a daily basis by the Chief Psychologist. The Psychology Department has eliminated Psychology Observation at MCC-NY. Both Staff and the Lieutenants will receive additional training on when they are required to complete rounds and sign Suicide Watch log books. Wit
EFTA00110543
ngs noted discrepancies in the procedures approved for Psychological Observation. The Psychology Department has eliminated Psychology Observation at MCC-NY. Both Staff and the Lieutenants received additional training on when they are required to complete rounds and sign Suicide 5 EFTA00110547 Watch
EFTA00110557
ncies in the procedures approved for Psychological Observation. 5 EFTA00110564 The Psychology Department has eliminated Psychology Observation at MCC-NY. Both Staff and the Lieutenants received additional training on when they are required to complete rounds and sign Suicide Watch log books. With re
EFTA00120069
n: Self-Report, SENTRY, Staff Observation. Inmate Epstein is a 66-year-old, Black male who was seen by Psychology Services due to newly arriving at MCC-NY. He denied a history of mental health treatment on his Psychology Services Intake Questionnaire. Mental Health History and Current Symptoms No his
EFTA00121398
books are now being closely monitored on a daily basis by the Chief Psychologist. The Psychology Department has eliminated Psychology Observation at MCC-NY. Both Staff and the Lieutenants received additional training on when they are required to complete rounds and sign Suicide Watch log books. With re
EFTA00121315
n: Self-Report, SENTRY, Staff Observation. Inmate Epstein is a 66-year-old, Black male who was seen by Psychology Services due to newly arriving at MCC-NY. He denied a history of mental health treatment on his Psychology Services Intake Questionnaire. Mental Health History and Current Symptoms No his
EFTA00122634
: 5 Focus of Session He was seen by writer while he was on Psych Observation. Subjective/Objective Presentation He stated he hasn't slept well at MCC-NY because he hasn't had his cpap machine. He stated it is here and he will be able to start using it tonight. He discussed how he does not think he wi
EFTA00123123
ooks are now being closely monitored on a daily basis by the Chief Psychologist. The Psychology Department has eliminated Psychology Observation at MCC-NY. Both Staff and the Lieutenants will receive additional training on when they are required to complete rounds and sign Suicide Watch log books. Wit
EFTA00134786
78318-054 5 bus of He was seen by writer while he was on Psych Observation. Subjective/Objective Presentation He stated he hasn't slept well at MCC-NY because he hasn't had his cpap machine. He stated It Is here and he will be able to start using It tonight. He discussed how he does not think he wi
EFTA00134806
n: Self-Report, SENTRY, Staff Observation. Inmate Epstein is a 66-year-old, Black male who was seen by Psychology Services due to newly arriving at MCC-NY. He denied a history of mental health treatment on his Psychology Services Intake Questionnaire. Mental Health History and Current Symptoms No his
EFTA00135309
n: Self-Report, SENTRY, Staff Observation. Inmate Epstein is a 66-year-old, Black male who was seen by Psychology Services due to newly arriving at MCC-NY. He denied a history of mental health treatment on his Psychology Services Intake Questionnaire. Mental Health History and Current Symptoms No his
EFTA00135340
yD Focus of Session He was seen by writer while he was on Psych Observation. Su bjectIve/ObjectIve Presentation He stated he hasn't slept well at MCC-NY because he hasn't had his cpap machine. He stated it is here and he will be able to start using it tonight. He discussed how he does not think he wi
EFTA00139151
ngs noted discrepancies in the procedures approved for Psychological Observation. The Psychology Department has eliminated Psychology Observation at MCC-NY. Both Staff and the Lieutenants received additional training on when they are required to complete rounds and sign Suicide Watch log books. With re
n: Self-Report, SENTRY, Staff Observation. Inmate Epstein is a 66-year-old, Black male who was seen by Psychology Services due to newly arrivi g at MCC-NY. He denied a history of mental health treatment on his Psychology Services Intake Questionnaire. Mental Health History and Current Symptoms No his
Page: EFTA00032157 →
Jeffrey Epstein
PersonAmerican sex offender and financier (1953–2019)
Special Housing Unit
OrganizationRestricted housing unit within the federal prison system
Leon Black
PersonAmerican billionaire businessman (born 1951)

Julie K. Brown
PersonAmerican journalist
the Lieutenant's Office
OrganizationOrganization referenced in documents
Central Office
OrganizationCentral administrative office

Metropolitan Correctional Center
OrganizationMetropolitan Correctional Center, New York, federal detention facility where Jeffrey Epstein died on August 10, 2019
Psychology Data System
OrganizationOrganization referenced in documents
Psychology Services
OrganizationOrganization referenced in documents
Park Row
LocationStreet in Lower Manhattan, New York City
Correctional Services
OrganizationOrganization referenced in documents
Mental Health History
OrganizationOrganization referenced in documents
The Unit Team and Correctional Staff
OrganizationOrganization referenced in documents

Department of Justice
OrganizationUnited States Department of Justice, federal executive department responsible for law enforcement
Kosher
OrganizationOrganization referenced in documents
Health Services
OrganizationHealth services division

George W. Bush
PersonPresident of the United States from 2001 to 2009
Federal Bureau of Prisons
OrganizationU.S. federal agency responsible for incarceration of federal inmates

Ghislaine Maxwell
PersonBritish socialite and sex trafficker, daughter of Robert Maxwell, accomplice of Jeffrey Epstein
Associate Wardens
PersonPerson referenced in documents