13
Total Mentions
9
Documents
341
Connected Entities
Surname reference in documents
In some areas, massage therapists must include an official massage license number as part of any Yellow Pages listing for massage. According to Dan Ulrich, past president of the Florida State Massage Therapy Association, the inclusion of the license number in Yellow Pages and other ads significantly r
Page: EFTA00008129 →In some areas, massage therapists must include an official massage license number as part of any Yellow Pages listing for massage. According to Dan Ulrich, past president of the Florida State Massage Therapy Association, the inclusion of the license number in Yellow Pages and other ads significantly r
Page: EFTA00008129 →In some areas, massage therapists must include an official massage license number as part of any Yellow Pages listing for massage. According to Dan Ulrich, past president of the Florida State Massage Therapy Association, the inclusion of the license number in Yellow Pages and other ads significantly r
Page: EFTA00008129 →EFTA00064994
0000 Importance: Normal Attachments: 2019_2-22_NewsClips.pdf SDNY News Clips Friday, February 22, 2019 EFTA00064994 Contents Public Corrupt) Ulrich Manafort Mueller Inauguration Committee R. Kelly General Crimes Okoumou Civil Division NYCHA Civil Frauds FEMA Matters of Interest Judge
EFTA00065022
SDNY News Clips, February 22, 2019 SDNY News Clips Friday, February 22, 2019 Contents Public Corruption 2 Ulrich 2 Manafort 4 Mueller 7 Inauguration Committee 14 R. Kelly 16 General Crimes 22 Okoumou 22 Civil Division 24 NYCHA 24 Civil Frauds
EFTA00148034
ading him to" allegedly open fire inside a medical clinic in Minnesota, "according to newly unsealed search warrants." Court records also show that Ulrich has past convictions for "two drunken-driving offenses, an open-bottle offense and several crimes related to possessing illegal drugs." Abducted Te
EFTA00150782
remaining in a restricted building or grounds. Moerschel is additionally charged with destruction of government property and aiding and abetting." Ulrich and Moerschel "are the latest of 18 defendants to be charged with planning and participating in the siege. Moerschel, a self-proclaimed member of th
EFTA01361022
amount of S latemorers Nene phedet0 &nova Marro Addeo, 'Jaime! In Journal Fiirra5 in the amount or S Journal Holding, tyiSymbrogSerunly t Ulrich! ref j Journal iit'i Hotness to 08A8 Amount a Ac c n..rui Name Five Dellyirkse U Please deliver the SeCanliel indicated betCrac IC MCC,
EFTA01656108
s role in the Jan. 6 Capitol riot, after pleading guilty to seditious conspiracy and cooperating with federal prosecutors. According to the article, Ulrich provided significant assistance in the prosecution of other Oath Keepers, including testifying against members of the group accused of plotting to
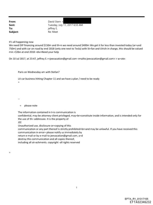
EFTA02346232
we need around $400m We get it for less than invested today (ar=und 750m) and with car on road by end 2018 (only one next to Tesla) with St=fan and Ulrich in charge, this should be valued min +$3bn at end 2018 =div>Need your help On 10 Jul 2017, at 23:47, jeffrey E.=<[email protected] <mailto:jeev
EFTA02370859
we =eed around $400m We get it for less than invested =oday (around 750m) and with car on road by end 2018 (only one next to =esla) with Stefan and Ulrich in charge, this should be valued min +$3bn =t end 2018 Need your =elp apex-site/ On 10 Jul 2017, at 23:47, =effrey E. <[email protected] <mail

Jeffrey Epstein
PersonAmerican sex offender and financier (1953–2019)

Virginia Giuffre
PersonAdvocate for sex trafficking victims (1983–2025)

Donald Trump
PersonPresident of the United States (2017–2021, 2025–present)

Michael Cohen
PersonAmerican former attorney and former Republican official

Bernie Sanders
PersonUnited States Senator from Vermont since 2007

Bloomberg L.P.
OrganizationAmerican privately held financial, software, data, and media company

Julie K. Brown
PersonAmerican journalist

Joe Biden
Person46th President of the United States (2021–2025)
The Washington Examiner
OrganizationThe Washington Examiner, American news website

Department of Justice
OrganizationUnited States Department of Justice, federal executive department responsible for law enforcement

Andrew Cuomo
PersonGovernor of New York from 2011 to 2021

Capitol Hill
OrganizationNeighborhood in Washington, D.C., USA

New York
LocationMost populous city in the United States

Prince Andrew
PersonThird child of Queen Elizabeth II and Prince Philip, Duke of Edinburgh (born 1960)

Stephen Hawking
PersonBritish theoretical physicist, cosmologist and author (1942–2018)

North Carolina
LocationState of the United States of America

David Rodgers
PersonJeffrey Epstein's chief pilot (1991-2019), maintained flight logs documenting passengers on Epstein's private jets

James Comey
PersonAmerican lawyer and 7th director of the Federal Bureau of Investigation (born 1960)

Kansas
LocationState of the United States of America

Alexander Acosta
PersonAmerican attorney and politician, 27th U.S. Secretary of Labor (born 1969)