9
Total Mentions
9
Documents
3
Connected Entities
Organization referenced in documents
EFTA01366291
uy these securities in any jurisdiction where the offer or sale is not permitted. Subject to Completion, Dated July 27.2015 Preliminary Prospectus GLOBAL PARTNER ACQUISITION CORP. $135,000,000 13,500,000 Units Global Partner Acquisition Corp. is a newly erganizixi blank chock company formed for the purpose of effecting a mag
EFTA01366408
ss any defernx1 underwriting commissions and taxes payable on interest earned) at the time of our signing a definitive agreement in connection F-7 GLOBAL PARTNER ACQUISITION CORP. Notes to Financial Statements NOTE I—DESCRIPTION OF ORGANIZATION AND BUSINESS OPERATIONS - (continued) with the Company's initial Business Combina
EFTA01366405
., Washington. D.C. 20549. Please call the SEC at I -800-SEC-0330 for further information on the operation of the public reference facilities. 147 GLOBAL PARTNER ACQUISITION CORP. Page Report of Independent Registered Public Accounting Firm F-2 Financial Statements: Balance Sheet F-3 Statement of Operations F-4 Stateme
EFTA01366409
tates of America requires the Company's management to make estimates and assumptions that affect the reported amounts of assets and liabilities and GLOBAL PARTNER ACQUISITION CORP. Notes to Financial Statements NOTE 2—SUMMARY OF SIGNIFICANT ACCOUNTING POLICIES - (continued) disclosure of contingent assets and liabilities at t
EFTA01366407
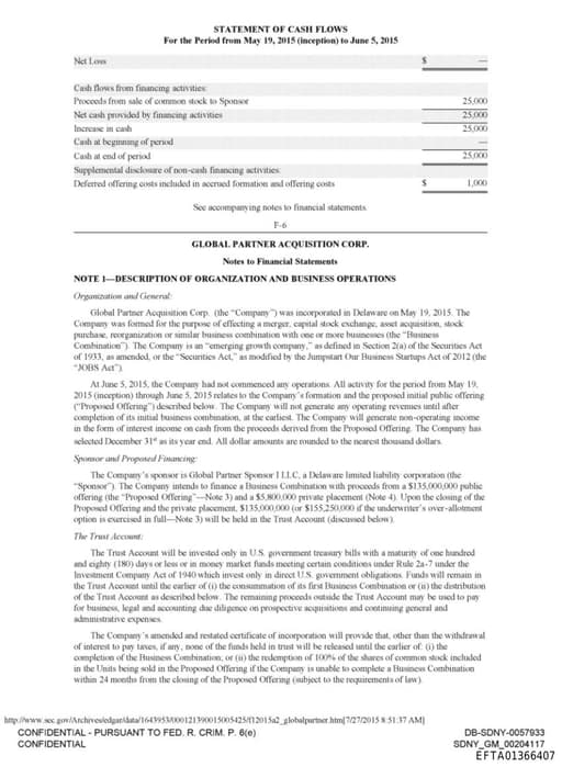
costs included in accrued formation and offering costs .Scc accompanying notes to financial statements. F-6 25,000 25,000 25,000 251 K 1,0(10 GLOBAL PARTNER ACQUISITION CORP. Notes to Financial Statements NOTE 1—DESCRIPTION OF ORGANIZATION AND BUSINESS OPERATIONS Organization and General: Global Partner Acquisition Cor
EFTA01366410
therein. The Company has incorporated the methodologies prescribed by ASU 2014-10 as reflected in the financial statements contained herein. P-I0 GLOBAL PARTNER ACQUISITION CORP. Notes to Financial Statements NOTE 2-SUMMARY OF SIGNIFICANT ACCOUNTING POLICIES - (continued) In August 2014. the FASB issued ASU 2014-15. Present
EFTA01366412
s. If the Private Placement Warrants are held by someone other than the Sponsor or its permitted transferees, the Private Placement Warrants F-12 GLOBAL PARTNER ACQUISITION CORP. Notes to Financial Statements NOTE 4—RELATED PARTY TRANSACTIONS - (continued) will be redeemable by the Company and exercisable by such holders on
EFTA01366406
eficit Total stockholder's equity 25,000 Total liabilities and stockholder's equity 26.000 See accompanying notes to financial statements. F-3 GLOBAL PARTNER ACQUISITION CORP. STATEMENT OF OPERATIONS For the Period from May 19, 2015 (inception) to June 5, 2015 Revenues General and administrative expenses Net loss attri
EFTA01366419
o be signed on its behalf by the undersigned, thereunto duly authorized, in the City of New York. State of New York. on the 27th day of July, 2015. GLOBAL PARTNER ACQUISITION CORP. /s/ Paul Zepf Name: Paul Leg Title: Chief Executive Officer http/Avww.see.gov/Archivestedgar/datart643953AX1012139001500542541201582_globalperIne