5
Total Mentions
5
Documents
7
Connected Entities
Surname or name fragment in documents
EFTA02274587
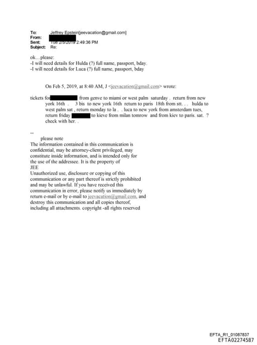
To: Jeffre E [email protected]] From: Sent: 2:49:36 PM Subject: Re: ok...please: -I will need details for Hulda (?) full name, passport, bday. -I will need details for Luca (?) full name, passport, bday On Feb 5, 2019, at 8:40 AM, J <jecvacation@gmailcom> wro
EFTA02274839
To: From: J Sent: Tue 2/5/2019 2:56:56 PM Subject: Re: Later On Tue, Feb 5, 2019 at 9:49 AM ‘.vrote: ok...please: -I will need details for Hulda (?) full name, passport, bday. -I will need details for Luca (?) full name, passport, bday On Feb 5, 2019, at 8:40 AM, J <[email protected]> wr
EFTA02277756
l let you know once I get there! Have a lovely day. Sincerely, On Tue, Feb 5, 2019 at 3:34 PM 09FEB19 VRYSVV I will save the phone wrote: Hello Hulda! Here is your ticket to go to FL this Sat. Feb. 9th. and return on Feb 12th. Please double check ALL for accuracy and confirm receipt. One of Jeffre
EFTA02277774
I will save the phone numbers and I'll let you know once I get there! Have a lovely day. Sincerely, On Tue, Feb 5, 2019 at 3:34 PM wrote: Hello Hulda! Here is your ticket to go to FL this Sat. Feb. 9th. and return on Feb 12th. Please double check ALL for accuracy and confirm receipt. One of Jeffr
EFTA02277810
I will save the phone numbers and I'll let you know once I get there! Have a lovely day. Sincerely, On Tue, Feb 5, 2019 at 3:34 PM wrote: Hello Hulda! Here is your ticket to go to FL this Sat. Feb. 9th. and return on Feb 12th. Please double check ALL for accuracy and confirm receipt. One of Jeffr

Jeffrey Epstein
PersonAmerican sex offender and financier (1953–2019)

Washington State
LocationState of the United States of America

American Airlines
OrganizationMajor airline of the United States

New York
LocationMost populous city in the United States
Carluz N. Toylo
PersonPerson referenced in Epstein-related documents
Renato Lacson
PersonStaff member referenced in Epstein household and travel scheduling documents
Ruth Elopuro
PersonName reference in documents