9
Total Mentions
9
Documents
5
Connected Entities
Person referenced in documents
EFTA02618721
assign my interest in the trust to the insurance =o . They pay me three million dollars. Valeria and i exchange mutual=releases with max and harry . Et al . Then the insurance co ca= spend as much time as they want negotiating with harry . Our next o=fer will be 4 million to include emotional distress
EFTA02618813
assign my interest in the trust to the insur=nce co . They pay me three million dollars. Valeria and i exchange m=tual releases with max and harry . Et al . Then the insurance =o can spend as much time as they want negotiating with harry . Our n=xt offer will be 4 million to include emotional distress
EFTA02618859
assign my interest in the tr=st to the insurance co . They pay me three million dollars. Valeria =nd i exchange mutual releases with max and harry . Et al . The= the insurance co can spend as much time as they want negotiating with har=y . Our next offer will be 4 million to include emotional distress
EFTA02618885
assign my interest in the trust to the insuranc= co . They pay me three million dollars. Valeria and i exchange mutu=l releases with max and harry . Et al . Then the insurance co =an spend as much time as they want negotiating with harry . Our next=offer will be 4 million to include emotional distress
EFTA02618954
assign my interest in the trust to the insuran=e co . They pay me three million dollars. Valeria and i exchange mut=al releases with max and harry . Et al . Then the insurance co=can spend as much time as they want negotiating with harry . Our nex= offer will be 4 million to include emotional distress
EFTA02619055
assign my interest in the tr=st to the insurance co . They pay me three million dollars. Valeria =nd i exchange mutual releases with max and harry . Et al . The= the insurance co can spend as much time as they want negotiating with har=y . Our next offer will be 4 million to include emotional distress
EFTA02619075
assign my interest in the trust to the insurance =o . They pay me three million dollars. Valeria and i exchange mutual=releases with max and harry . Et al . Then the insurance co ca= spend as much time as they want negotiating with harry . Our next o=fer will be 4 million to include emotional distress
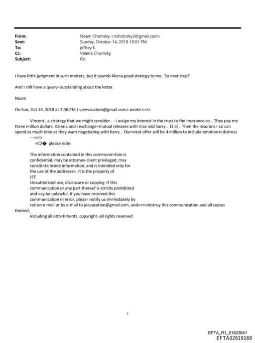
EFTA02619168
assign my interest in the trust to the ins=rance co . They pay me three million dollars. Valeria and i exchange=mutual releases with max and harry . Et al . Then the insuranc= co can spend as much time as they want negotiating with harry . Our=next offer will be 4 million to include emotional distress
EFTA02619238
sign =y interest in the trust to the insurance co . They pay me three mill=on dollars. Valeria and i exchange mutual releases with max and harry . Et al . Then the insurance co can spend as much time as they want=negotiating with harry . Our next offer will be 4 million to include=emotional distress

Noam Chomsky
PersonAmerican linguist and activist (born 1928)

Valeria Chomsky
PersonBrazilian translator and linguist, wife of Noam Chomsky (married 2014)

Jeffrey Epstein
PersonAmerican sex offender and financier (1953–2019)

Vincent
OrganizationEntity referenced in documents
Valeria =nd i exchange
PersonName reference in documents