4
Total Mentions
4
Documents
7
Connected Entities
Organization referenced in documents
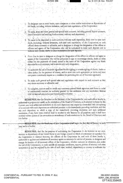
EFTA01358405
to designate and; • . change the location of all hecesssay offices of the Corporation, whether staiumay or otherwise, andrueder rise" seal or the Cdportitio, to make and:fie all nece*gy cirrigeates, reports; powers &attorney a'nd other • • instpariisa.4 jay be. re4iiiialayibe labh•Of sue)) state, tetrito
EFTA01362740
to designate and.' • . change the location of all hecessuy offices of the Corporation, whether statutory or otherwise, and,-under the" arid of the Cdportitio, to make araf:fie áll•ned*gy cirrigeztes; reports; powers of attorney and othét • • janparikaj jay be re4ijikalarke iabra.ÓF sue)) state, tektitotf,
EFTA01362891
to designate and.' • . change the location of all hecessuy offices of the Corporation, whether staidoty or otherwise, and,-under the. seal of the Cdportitio, to make araf:fie áll•nece*gy cirrigaries, reports; powers of attorney and othét • • janparikaj jay be re4ijikatr,the iabra.ÓF sue)) state, tektitot
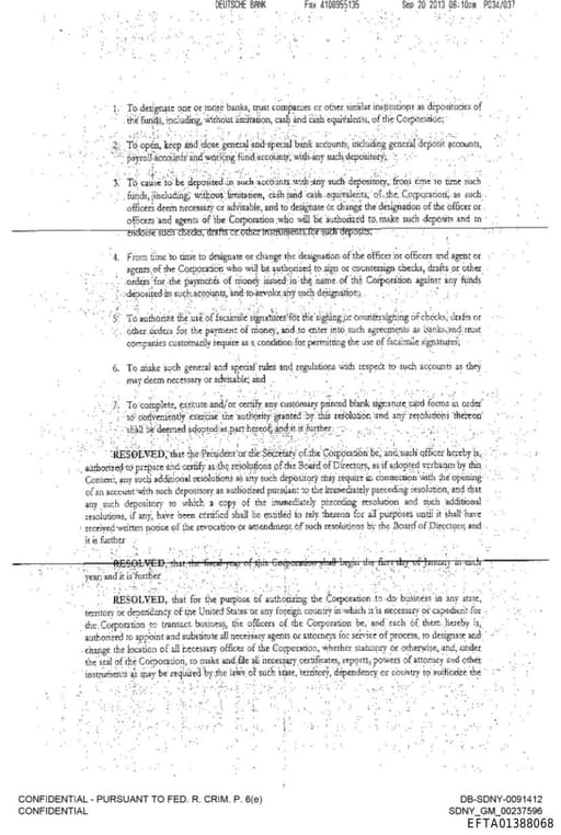
EFTA01388068
cess, to designate and.. • . change the location of all hecesssay offices of the Corporation, whether statutory or otherwise, and, the" arid of the Cdportitio, to make araf:fie áll•ned*gy cirrigeztes; reports; powers of attorney and othét • • janparikaj jay be re4ijikalarke iabra.ÓF sue)) state, tektitotf,
At—.
OrganizationOrganization referenced in documents

United States
LocationCountry located primarily in North America
Withtiut gran-ion
PersonName reference in documents
iihalclii4
LocationLocation referenced in documents
IrnMediatelypieddi4
OrganizationOrganization referenced in documents
•-'slikábOi?0,d
OrganizationOrganization referenced in documents
Stich
PersonSurname reference in documents