2
Total Mentions
2
Documents
0
Connected Entities
Organization referenced in documents
EFTA00582975
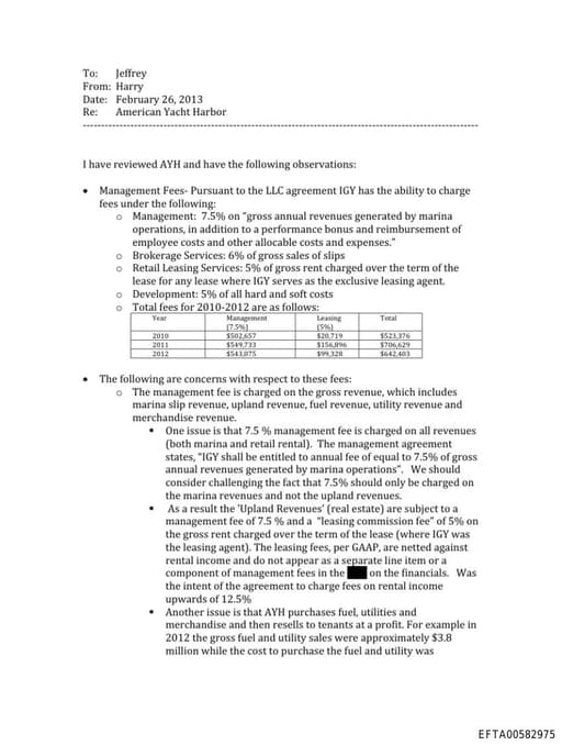
slips o Retail Leasing Services: 5% of gross rent charged over the term of the lease for any lease where IGY serves as the exclusive leasing agent o Development: 5% of all hard and soft costs o Total fees for 2010-2012 are as follows: Year Management (7.5%) Leasing (5%) Total 2010 $502,657 $20,719
EFTA02443933
ndors, including: o Data warehouse development and management contract providing clarity on AGC's exclusive right to use data being managed. o Development and support agreement for business intelligence suite of products for use by central MOHRSS as per the terms of the research and services contract
No connected entities