4
Total Mentions
4
Documents
2
Connected Entities
Organization referenced in documents
EFTA01377641
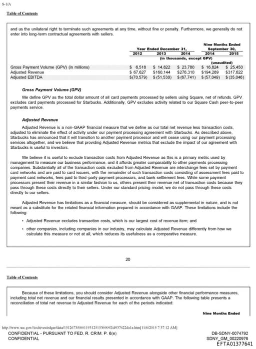
e metrics that exclude the impact of our agreement with Starbucks is useful to investors. We believe it is useful to exclude transaction costs from Adjusted Revenue as this is a primary metric used by management to measure our business performance, and it affords greater comparability to other payments processin
EFTA01377673
e metrics that exclude the impact of our agreement with Starbucks is useful to investors. We believe it is useful to exclude transaction costs from Adjusted Revenue as this is a primary metric used by management to measure our business performance, and it affords greater comparability to other payments processin
EFTA01377676
mber 30, 2014. In 2014, our total net revenue grew to $850.2 million, up 54% from the prior year. For the nine months ended September 30. 2015. our Adjusted Revenue grew to $317.6 million, up 63% from the nine months ended September 30, 2014. In 2014, our Adjusted Revenue grew to $276.3 million, up 73% from the
EFTA01377709
rocessor and will cease using our payment processing services altogether prior to the scheduled expiration of the agreement. For more information on Adjusted Revenue, see the section titled "—Key Operating Metrics and Non-GAAP Financial Measures? We intend to continue to make investments that will serve sellers a