6
Total Mentions
6
Documents
9
Connected Entities
Organization referenced in documents
EFTA01368381
t. O.) Dania' Entity. Client C IS / IS NOT a Special Entity. If Client is a Special Entity (or is electing to he a Special Entity as ermitted by CFTC Regulations), Client has duly completed the Special Entity Questionraire in the Swap Addundum Annex, and the information contained therein is true and correct.
EFTA01368397
ther: (I) nor a Financial Entity (notwithstanding any exemptions or exclusions from such definition provided in Section 2(h) of the CEA or related CFTC Regulations); (ii) exempt from the definition of Financial Entity as an Exempt Small Financial Institution; or (iii) excluded from the definition of Financi
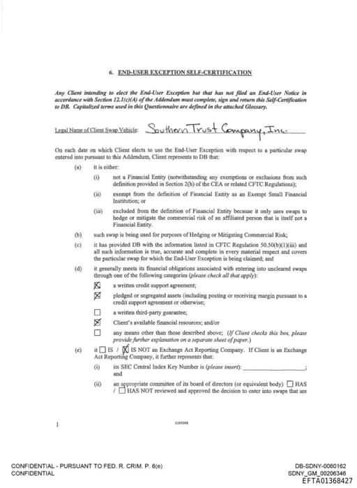
EFTA01368427
(c) (I) not a Financial Entity (notwithstanding any exemptions or exclusions from such definition provided in Section 2(h) of the CEA or related CFTC Regulations); (ii) exempt from the definition of Financial Entity as an Exempt Small Financial Institution; or (iii) excluded from the definition of Financi
EFTA01376695
aws and rules, Deutsche Bank AG ("DB") haaregisterr.d with the crrc as a swap dealer in respect of its swaps business with US persons. Tice CFA and CFTC Regulations. Impose a number of new regulatory requirements on swap dealers, including an obligatioti to observe certain conduct standards in its swap business
EFTA01376699
, CI) Special Entity. Client 0 IS / IS NOT a Special Entity. If Client is a Special Entity (or is electing to be a Special Entity as permitted by CFTC Regulations), Client has duly completed the Special Entity Questionnaire in the Swap Addendum Annex, and the information contained therein is true and correct.
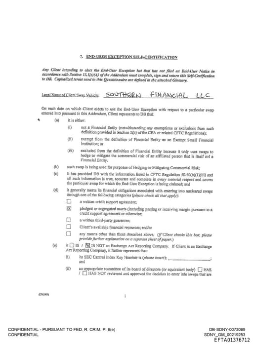
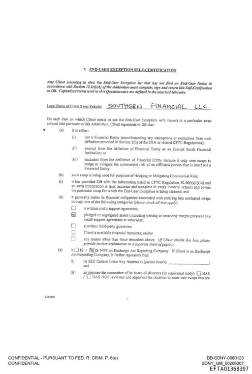
EFTA01376712
ither. (i) not a Financial Entity (notwithstanding any exemptions or exclusions from such definition provided in Section 2(h)of the CEA or related CFTC Regulations); (ii) exempt from the defmition of Financial Entity as an Exempt Small Financial Institution; or (iii) excluded from the definition of Financia
Financial Entity
OrganizationOrganization referenced in documents
SEC Central Index Key Number
OrganizationOrganization referenced in documents
Major Security-Based Swap Participant
OrganizationOrganization referenced in documents
an Eligible Contract Participant
OrganizationOrganization referenced in documents

European Union
OrganizationPolitical and economic union of 27 European states
the Eligible Contract Participant Questionnaire
OrganizationOrganization referenced in documents
the Financial Entity Questionnaire
OrganizationOrganization referenced in documents
the ECP Questionnaire
OrganizationOrganization referenced in documents

Exchange
OrganizationSong by Bryson Tiller