3
Total Mentions
3
Documents
15
Connected Entities
Organization referenced in documents
EFTA01364116
York, NY 10017 Suspect Information Is Suspect Information Available? Yes X No Last Name, First Name, Middle I Darren Indyke Address including City, State, Zip Code, and Country 2Kean Ct Livingston, NJ 07039 Phone Number - Residence Phone Number - Work (Include area code) (Include area code) Occu
EFTA01369630
York, NY 10017 Suspect Information Is Suspect Information Available? Yes X No Last Name, First Name, Middle I Darren Indyke Address including City, State, Zip Code, and Country 2Kean Ct Livingston, NJ 07039 Phone Number - Residence Phone Number - Work (Include area code) (Include area code) Occu
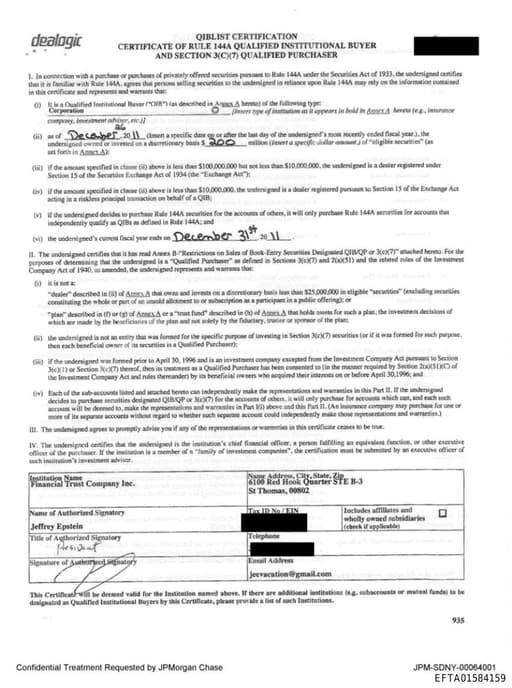
EFTA01584159
must be submitted by an executive officer of such institution's investment advisor titution Name Ins m Finanal Trust Company Inc. Name Address, City, State, -pp 6100 Red Hook Quaer E B-3 rt St Thomas, 00802 Name of Authorized Signatory Jeffrey Epstein Includes alTiliates and wholly owned subsidiar
Peggy Siegal
PersonAmerican entertainment publicist
Darren Indyke
PersonAmerican lawyer, longtime personal attorney and co-executor of Jeffrey Epstein's estate
Livingston
LocationTownship in New Jersey, United States
Country
OrganizationGenre of American popular music
Ying Wang
PersonPerson referenced in documents
Peggy McGarvey
PersonPerson referenced in documents
e. Borrower
PersonName reference in documents
Matthew Siss
PersonName reference in documents
F. Futures
OrganizationOrganization referenced in documents
N. Securities
OrganizationOrganization referenced in documents
Q. Terrorist
OrganizationOrganization referenced in documents
S. Wire
OrganizationOrganization referenced in documents
Peter R DeGeorge
OrganizationOrganization referenced in documents
c. Appraiser
LocationLocation referenced in documents
SOCIAL MEDIA MARKETING GROUP LLC's
OrganizationOrganization referenced in documents