3
Total Mentions
3
Documents
8
Connected Entities
Organization referenced in documents
EFTA00598516
ll mean, collectively, the transfer provisions of each Partnership Agreement, LLC Agreement and Charter Document set forth in Annex A, Annex B, and Annex C under the heading "Transfer Provisions." Now, THEREFORE, in consideration of the mutual promises contained herein, the parties hereby agree as foll
EFTA01374162
Supplement on behalf of the prospective New Limited Partner (a sample Incumbency Certificate is attached hereto as Annex 8). K A completed copy of Annex C certifying that the entity has adequate anti-money laundering policies and procedures in place that are consistent with all applicable anti-money la
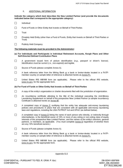
EFTA01386248
Supplement on behalf of the prospective New Limited Partner (a sample Incumbency Certificate is attached hereto as Annex 8). K A completed copy of Annex C certifying that the entity has adequate anti-money laundering policies and procedures in place that are consistent with all applicable anti-money la

United States
LocationCountry located primarily in North America
Keogh
OrganizationRetirement savings plan type

Paul Barrett
PersonAmerican investment banker and fund manager, founder of Alpha Group Capital, former JPMorgan private banker who managed Jeffrey Epstein's assets (2017-2019)
New Limited
OrganizationOrganization referenced in documents
the New Limited
OrganizationOrganization referenced in documents
the Wring Bank
OrganizationOrganization referenced in documents
Fund of Funds or Other Entity that Invests on Behalf of
OrganizationOrganization referenced in documents
New Limited Partner
OrganizationOrganization referenced in documents