7
Total Mentions
7
Documents
9
Connected Entities
Organization referenced in documents
EFTA01582778
z language school was supposedly sold to a Japanese publishing company, but the shares had previously been pledged as security for loans from Swiss Volksbank and Lehman Brothers." Confidential - This report is not to be disseminated or photocopied to any third party without the express consent of Global
EFTA01582793
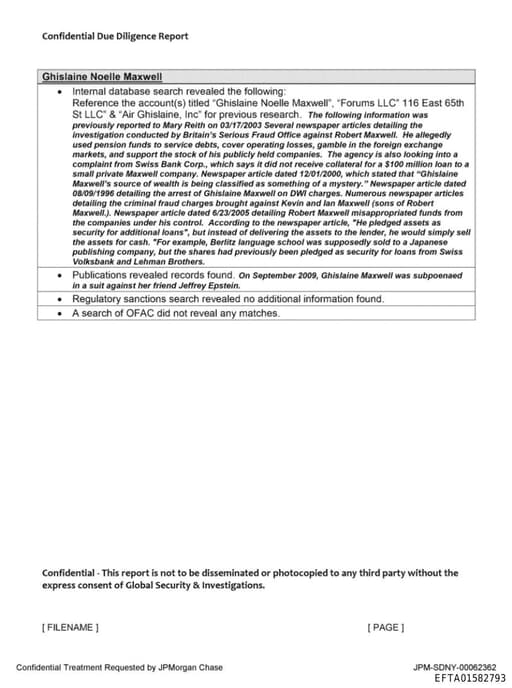
z language school was supposedly sold to a Japanese publishing company, but the shares had previously been pledged as security for loans from Swiss Volksbank and Lehman Brothers. • Publications revealed records found. On September 2009, Ghislaine Maxwell was subpoenaed in a suit against her friend Jeffr
EFTA01582826
z language school was supposedly sold to a Japanese publishing company, but the shares had previously been pledged as security for loans from Swiss Volksbank and Lehman Brothers." • Other databases (RDC/MIS/Factiva/Sex Offender) revealed no records found. • State court searches revealed no records foun
EFTA01582841
language school was supposedly sold to a Japanese publishing company. but the shares had previously been pledged as security for loans from Swiss Volksbank and Lehman Brothers.' Yes State Court Searches No records were found. No Federal Court Searches No records were found. No Personal Particular
EFTA01582854
Confidential Due Diligence Report publishing company, but the shares had previously been pledged as security for loans from Swiss Volksbank and Lehman Brothers." • Publications revealed nothing derogatory. Due to the amount of news stories found, search parameters had to be adjusted.
EFTA01582964
Confidential Due Diligence Report publishing company, but the shares had previously been pledged as security for loans from Swiss Volksbank and Lehman Brothers." • Publications revealed nothing derogatory. Due to the amount of news stories found, search parameters had to be adjusted.
EFTA01594218
language school was supposedly sold to a Japanese publishing company, but the shares had previously been pledged as security for loans from Swiss Volksbank and Lehman Brothers." State Court Searches Federal Court Searches Personal Particulars Publications Regulatory Sanctions OFAC/Control List Sear

Lehman Brothers
OrganizationDefunct American financial services firm

Ghislaine Maxwell
PersonBritish socialite and sex trafficker, daughter of Robert Maxwell, accomplice of Jeffrey Epstein

Ian Maxwell
PersonBritish businessman

Robert Maxwell
PersonCzechoslovak-born British media proprietor and Member of Parliament (1923-1991)
Global Security & Investigations
OrganizationDeutsche Bank global security and investigations division
Swiss Bank Corp.
OrganizationOrganization referenced in documents
Serious Fraud Office
OrganizationUK anti-fraud agency investigating complex fraud cases
TERRA MAR PROJECT, INC.
OrganizationNonprofit ocean conservation organization founded by Ghislaine Maxwell
Terra Mar
LocationLocation referenced in documents