2
Total Mentions
2
Documents
0
Connected Entities
Organization referenced in documents
EFTA01382726
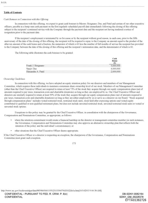
te, as follows: where the retention commitment would create a financial hardship on the director or management committee member (in such instances. the Governance, Compensation and Nominations Committee may also approve an alternative ownership plan that reflects both the intention of the policy and the individual's circumstanc
EFTA01382718
ons Committee will also be responsible for establishing the compensation of our executive officers and directors. Upon completion of this offering. the Governance, Compensation and Nominations Committee charter will be available on our website. Compensation Committee Interlocks and Insider Participation None of our Governance.
No connected entities