3
Total Mentions
3
Documents
1
Connected Entities
Organization referenced in documents
EFTA02426635
s uses etc...great info htlixf/www.vshsd.com/For Veterinarians-Continuing Education/Dr. Jackson-References- Stem Cells for Osteoarthritis.ocif %yes Waal HD Victor Dermatology & Rejuvenation PC 30 East 76th Street New York, New York 10021 212 249 3050 e e : www.stevenvictormdmedisna.com Product We
EFTA02427226
To: [email protected]@gmail.com] From: Sent: 11.1. M Subject: Re: opinion please YOU NEED MICROSOFT PUBLISHER PROGRAM %vu. Waal HD Victor Dermatology & Rejuvenation PC 30 East 76th Street New York. New York 10021 Fax IIIMF Cell Office Website: www.stevenvictormdmedisoa.com
EFTA02444031
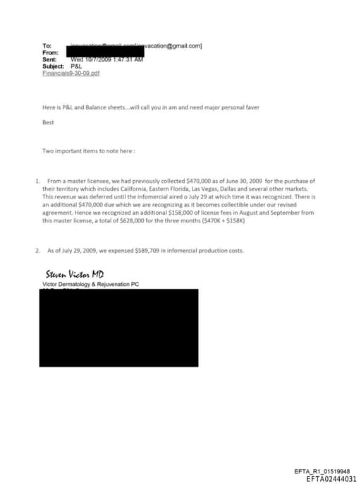
se, a total of $628,000 for the three months ($470K + $158K) 2. As of July 29, 2009, we expensed $589,709 in infomercial production costs. 54tits, Waal HD Victor Dermatology & Rejuvenation PC EFTA_R1_01519948 EFTA02444031