3
Total Mentions
3
Documents
6
Connected Entities
Organization referenced in documents
EFTA01696301
MD21204. BALTIMORE COUNTY (Dec 1991) OWSON MD 21204.7040. BALTIMORE COUNTY (Dec 1991) OWSON MO 21204.7023. BALTIMORE COUNTY (Sep 1990 • Dec 1990) TOWSON MD 21204, BALTIMORE COUNTY (Sep 1990) Age: esoc.tco: issued r NEW YORK between 01101/1959 and 12131/1958 -Verified Address(es): BOHEMIA NY 117164
EFTA01480266
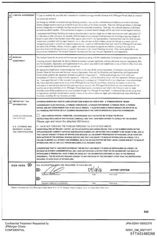
ON • FORE ION PERSON MAY HMV TO CONWATE IRS FORM W4BEN OR 'ORS W STAY A 'MINION PERSCIE IMAMS • MONIUSIDEse &JEN MCnvcioAs. A IOROGT. CORPORATIOM • TOWSON PARTNIASHIP. • FOREIGN TRUST, &FOREIGN ESTATE AND ANY OTTER PERSON THAT IS NOT Ail U S PERSON, IT PASO INCLUDES A FORECN BRANCA OR 00Pla OF AN US.
EFTA01671962_part_67
S INC AZ -$475.20 From: To: Carrier: Class: N/A WA YY 00 WA YY 00 WA YY 00 WA YY 00 Ticket Number 00173637756872 Passenger Name: TOWSON/MARK EDWARD Document Type: SUPPORTED REFUND Continued on next page AMEX006626 SDNY_GM_02749925 EFTA 00237181 EFTA01678584 Centurion(' Card p

Jeffrey Epstein
PersonAmerican sex offender and financier (1953–2019)

New York City
LocationMost populous city in the United States

Bill Clinton
PersonPresident of the United States from 1993 to 2001 (born 1946)

Prince Charles
PersonKing of the United Kingdom and other Commonwealth realms since 2022 (born 1948)

United States
LocationCountry located primarily in North America

NEW YORK NY
LocationState of the United States of America