3
Total Mentions
3
Documents
5
Connected Entities
Organization referenced in documents
EFTA02422820
tionQgmail.com[[email protected]] From: Lvjet Sent: Wed 9/8/2010 4:44:50 PM Subject: st croix hanger Jeffrey. I spoke with Bill Bolhke of Bolhke Aviation FBO in st. Croix, (he is the former owner of St. Thomas Jet center),Bill just acquired a 19,000 foot hanger, he offered fuel at $3.15 per gallon an
EFTA02429804
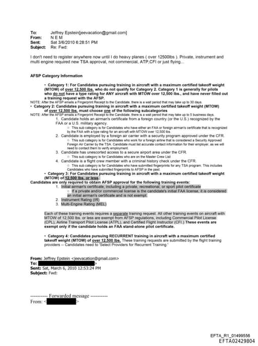
o him, once she does TSA and receives her pilot license, she doesn't need to re register. St. Croix has a Cirus or Diamond dealership and school at Bolhke Aviation, new G100 aircraft even twins, nick said, I will gather more info, Thx, Larry ------Original Message From: Je vacation To: Larry Sent: Mar 6,
EFTA02429811
o him, once she does TSA and receives her pilot license, she doesn't need to re register. St. Croix has a Cirus or Diamond dealership and school at Bolhke Aviation, new G100 aircraft even twins, nick said, I will gather more info, Thx, Larry Original Message From: Je vacation To: Larry Sent: Mar 6, 2010

Jeffrey Epstein
PersonAmerican sex offender and financier (1953–2019)
Larry Visoski
PersonAmerican pilot who worked for Jeffrey Epstein from 1991-2019, testified as key witness in Ghislaine Maxwell trial

Diamond
PersonSurname reference in Epstein-related documents

Nicolas
PersonFirst name reference to multiple individuals in Epstein documents

St. Croix
LocationOne of the main islands of the Virgin Islands of the United States