2
Total Mentions
2
Documents
3
Connected Entities
Name reference in documents
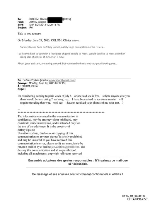
EFTA01967223
les faire rectifier ou les faire supprimer. Francais I English I Italiano I Deutsch I Espanol I Chinese O2004 • La Cornpagnie Financiers Edmond do Rothschild Banque - tous Molts resennis The information contained in this communication is confidential, may be attorney-client privileged, may constitute inside informati
EFTA01971718
les faire rectifier ou les faire supprimer. Francais I English I Italiano I Deutsch I Espanol I Chinese O2004 • La Cornpagnio Financier. Edmond do Rothschild Banque - tous Molts reservOs EFTA_R1_00454659 EFTA01971720 The information contained in this communication is confidential, may be attorney-client privileged,