2
Total Mentions
2
Documents
0
Connected Entities
Organization referenced in documents
EFTA01316181
ALMBEACH FL IMN 1000NGHTNMENO MIN 177 07/19 05 37P VI IE 1.25411 In - 1.25 072112:: I MN wp wic:103 8E2 2 LIN WPALIA CNft ago al tehratei. AP N 178 0709 MAW INCOMING IMN I EVI 500 ADOL ANYTIC MIN CALL WAITNG 239 0421 12:13P 240 0421 12 A2 33P V/PALMB CH FL IMN iNCOMINGEA 2MN 5004
EFTA02394757
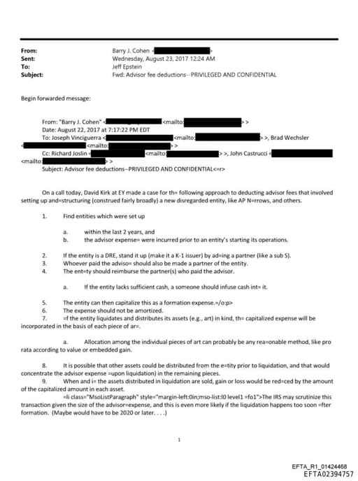
th= following approach to deducting advisor fees that involved setting up and=structuring (construed fairly broadly) a new disregarded entity, like AP N=rrows, and others. 1. Find entities which were set up a. within the last 2 years, and b. the advisor expense= were incurred prior to an entity'
No connected entities