2
Total Mentions
2
Documents
0
Connected Entities
Name reference in documents
EFTA00307063
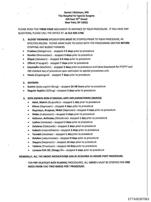
to procedure • Alleve (Naproxen) — stopped 4 days prior to procedure • Naprosyn, Anaprox, Midol (Naproxen) —stopped 4 days prior to procedure • Mobic (meloxicam) — stopped 2 days prior to procedure • Voltaren, Arthrotec (Diclofenac)- stopped 1 day prior to procedure • Lodine (etodolac)—stopped
EFTA01689847
'18 11:50A 1 Palm Bets81 P. Mottle CL MN nck:004 649 05/18 122912 I Lake Park FL -epics FL A ackeeci 050 06111 1201P 2 Lake Pork FL Mobic CL MN ncieeed 651 0910 1332P 3 Lake Park FL Incaning CL AC wad 662 05/10 0136P 3 Lam Park FL■ eipatmtench FL A misdeal 163 08/18 0
No connected entities