23
Total Mentions
21
Documents
235
Connected Entities
Location referenced in documents
EFTA01695623
trizjetr -..c . ,..6. , .• yczit-rf..:•::11/2". n . EMPLOYER' 1 1 ; ) . . % .4% t ,....is • DOB • YOUR RESIDENCE ADDRESS: Okla* Name of Subdivision, Apartment Complex and Nsanber, -MobiltHopte-Park and Cot elumb ppplicaiWe):. S &I Ito Why • aln ten 334€0 . (Provide physical location-arose O
r••••••07r " .2•41..... 2" • •• • • %Te ri, - 2..,:;0 •24 • o . • - a r- • • YOURNAME: Dflif4/351i YOUR RESIDER ADDaficilude game of ' Subdivision, Apartment Cohlida ait(Nantber, Mobile II Parkaga Ermid*rIPPlicalgoR erroCit..44 15bPt (Provide physical Ithastort-aCCEPlit Mat Box) TELEPHONE N
EFTA01723863
besby midi= thoNouTrostoutiOn Avow:lad ondAddoodum mune decd October 30, 2007. EFTA01723935 YOU DCA: W YOUR RESIDENCE ADDRESSr cbiclude Name of Subdivision, Apartment Complex arid Number, Mobik.Nome-Park and Lot Numbers_iffipplicable): • ,• • . ' • " -j etfikeeS For Mouth STATE OP PtOISA .:• "
e) iakti(46;: • • t • erns- EFTA01723936 ii:i 'ars o'd fest EFTA01723937 .• • YOUR NAME; Dah Urn - YOUR RESIDENCE ADD Itudade Name of Subdivision, Apartment CoMpier . 0 .41477'6er. Mobik Home Park and f f applicable): Ifre.41—f ia•-r . • • " ; , • • •• • • •• • %I.. Y. tt:44:14 .
EFTA01305714
arage/No. of Cars Stories/Floors No. of Units No. of Buildings Basement Type/Area Style View Tract No. $1.646.457 Map Reference $1.328.973 Subdivision $317.484 Zoning Prior Sale Type Prior Recording Date 1910 Living Area (SF) Price (S/SF) 6 Stones Lot Size (SF/AC) Fireplace Pool Heat Typ
EFTA00306319
if at all, shall become irrevocable and the Child shall have the right as a third party beneficiary to enforce such provisions. For purposes of this Subdivision, the term "Adjusted Gross Estate" shall mean the Husband's gross estate, reduced by the expenses of his last illness, debts (other than any obligat
EFTA01584127
ill be given authority. If the !Ina to the lett of a lettered Sub.:1444in 4 not initialed, no authority wth ho granted for mention Included in that Subdivision. Alternately, the letter comropending to each power to be ranted may be written or typed on the biome brie In Subdivision 5, end the one to the left
EFTA01584521
line to the left of each of the following iettened Subdtvisdons as to which an agent will be given authority. tf the line to the left of a lettered Subdivision is not Initialed, no authority will be granted for matters included In that Subdivision. Alternately, the letter corresponding to each power to be g
EFTA01584608
will be given authority. If the !Ina to the lett of a lettered Subdivision 4 not initiast, no authority wen Po granted for mention Included in that Subdivision. Alternately, the letter comropending to each power to be ranted may be written or typed on the biome brie In Subdivision 5, end the one to the left
EFTA01584917
line to the left of each of the following {attuned Subdtvisdons as to which an agent will be given authority. tf the line to the left of a lettered Subdivision is not Initialed, no authority will be granted for matters included In that Subdivision. Alternately, the letter corresponding to each power to be g
EFTA01585468
ill be given authority. If the !Ina to the lett of a lettered Sub.:1444in 4 not initialed, no authority wth ho granted for mention Included in that Subdivision. Alternately, the letter comropending to each power to be ranted may be written or typed on the biome brie In Subdivision 5, end the one to the left
EFTA01595010
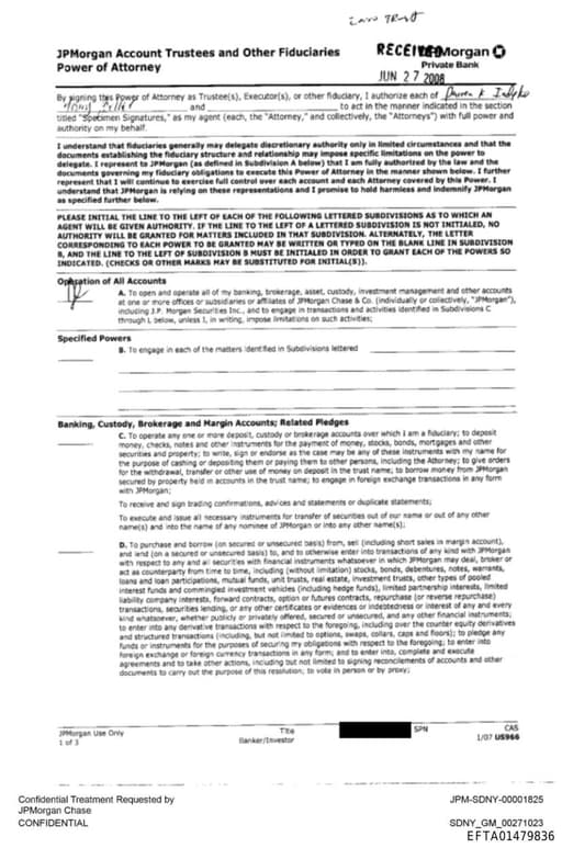
is establishing Irlbe fiduciary structure and relat loriShip may impose specific limitations of delegate. I represent to 311.torgan (as defined in Subdivision A below) that I tni hilly authorized dixtrinents cjovefling my fiduciary obligations to exec site this Power of EFTA01595010 Attorney in the man
EFTA01660111
ir CC-- City: GC. State: C Zip: 5)1 t E-Mail Address: "re..R.-00or (if applicable) EFTA01660117 YOUR RESIDENCE ADDRESS: (include Name of Subdivision, Apartment Complex and Number, M bilec tome(ack LotNumber. if applicabk): F g W him Case 9:08-cv-80119-KAM Document 547-1 Entered on FLSD Docke
EFTA01479836
stablasNng the fiduciary structure and relationship may impose specific limitations on the power to delegate. I represent to IPMorgan (as defined in Subdivision A below) that I am fully authorized by the law and the documents governing my fiduciary obligations to execute this Power of Attorney In the manner
EFTA01479844
e tee to the left of with of the following lettered Subdivisions as to which an agent will be given authority. If the tine to the left of a lettered Subdivision is not initialed, no authority will be granted for matters included in that Subdivision. Alternately, the letter corresponding to each power to be g
EFTA01479849
line to the left of each of the following lettered Subdivisions as to which an agent will be given authority. It the line to the left of a lettered Subdivision is not initialed, no authority will be granted for matters lncludod in that Subdivision. Alternately, the letter corresponding to each power to be g
EFTA01479875
e lee to the left of with of the following lettered Subdivisions as to which an agent will be given authority. If the line to the left of a lettered Subdivision is not initiated, no authority will be granted for matters included in that Subdivision. Alternately, the letter corresponding to each power to be g
EFTA01480269
e lee to the left of with of the following lettered Subdivisions as to which an agent will be given authority. If the line to the left of a lettered Subdivision is not initiated, no authority will be granted for matters included in that Subdivision. Alternately, the letter corresponding to each power to be g
EFTA00181807
Charge Status Yon we rut rently in CASE SC ear n Rn AneStrnands I Related Cases EFTA00181812 YO DC# YOUR RESIDENCE ADDRESS: (include Name of Subdivision, Apartment Complex and Number. Mobile Home Park and Lot Number, if applicable): ,Officer's Name: STATE OF FLORIDA For Month Ending: DEPARTMENT O
EFTA01625438
Status Yon we rut rently in CASE SC ear n Rn AneStrnands I Related Cases EFTA01625443 YOUIMIE DC#: YOUR RESIDENCE ADDRESS: (include Name of Subdivision, Apartment Complex and Number. Mobile Home Park and Lot Number, if applicable): ci ,Officer's Name: STATE OF FLORIDA For Month Ending: DEPARTMEN
EFTA00068176
rea Style View Distance (MI) County APN 10/02/2018 Census Land Use Special Warranty Tract No. Deed $15.590.313 Map Reference $9.388.750 Subdivision $6.201.563 Zoning Prior Sale Type Prior Recording Date 1950 Living Area (SF) Price (S/SF) 2 Stones Lot Size (SF/AC) Fireplace Pool Heat T
EFTA00789957_sub_001 - EFTA00789957_100
OP FLORIDA .:•. DEPARTMENT. OF CORRECTIONS, • . • • •• . WRITTEN MONTHLY REPORT'. YOUKti IVIEn tan YOUR RESIDENCE ADDRESSycfric(ude Name of Subdivision, Apartment Complex and hhimber, Mobile-Home-Park andliotNumherappplicabk).:.. S &Ito Vii alto aaadtt 33 -Przo . (Provide physical location —flP

Samantha Power
PersonIrish-American academic, author and diplomat

JPMorgan Chase
OrganizationAmerican multinational banking and financial services holding company

Jeffrey Epstein
PersonAmerican sex offender and financier (1953–2019)
Instruments
OrganizationOrganization referenced in documents
Maria Farmer
PersonAmerican visual artist
Apartment Complex
OrganizationOrganization referenced in documents

Joi Ito
PersonJapanese-American activist, entrepreneur, and venture capitalist

New York City
LocationMost populous city in the United States
Mobile Home Park
OrganizationOrganization referenced in documents
argot&
OrganizationOrganization referenced in documents
cOlig
OrganizationOrganization referenced in documents
CITIBANK NA
OrganizationMajor American bank, subsidiary of Citigroup
Frick
PersonAmbiguous - references to The Frick Collection museum and possibly individuals named Frick in Epstein documents
Marian Woke.
PersonName reference in documents
rwe-se
PersonName reference in documents
Introit
PersonSurname or name fragment in documents
Yiitnanline
PersonName reference in documents
Sutdivklois
LocationLocation referenced in documents

l.s.
LocationLocation referenced in documents
Custody
LocationLocation referenced in documents