8
Total Mentions
8
Documents
29
Connected Entities
Organization referenced in documents
EFTA00172125
ENTICEMENT Title 18 USC 2422(b) Interstate Commerce Connection . _ .. . _ _ .. _.. . . Unknown, multiple times --_ .. . . .. . . _ .... Telephone Records Approx. 10-15 ___ _ ._ _. _ . .. , . _.... . _ . Telephone Records _ .. .. ____. _____. Telephone Records Less than 10 times but more th
EFTA00227057
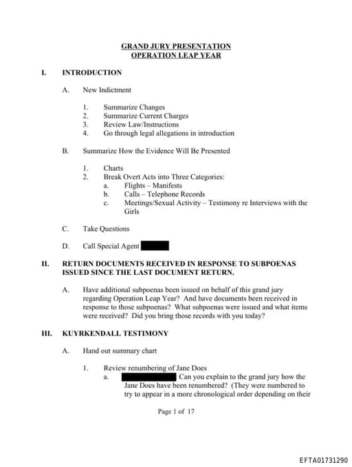
roduction A. Summarize How the Evidence Will Be Presented I. Charts 2. Break Overt Acts into Three Categories: a. Flights — Manifests b. Calls — Telephone Records c. Meetings/Sexual Activity — Testimony re Interviews with the Girls A. Take Questions A. Call Special Agent Richards I. RETURN DOCUMENTS RECEIVE
EFTA00234710
SK Telephone SK Telephone SK Telephone Julie N/A a., Angela T.(20) B.(18) multiple times (Bstated Approx. 15 Approx. 15 hundreds of times Telephone Records Telephone Records From SK - 86 From SK - 42 Total Total - Over 120 calls - Over 50 (70) (128) Total - 8 Total - 14 YES Total - 1 (NM calli
EFTA01697637
MASSAGES multiple times stated hundreds of times Approx. 15 Approx. 15 8 ENTICEMENT Title 18 USQ2422(b) Interstate Commerce Connection 9 Telephone Records Telephone Records Telephone Records 10 with From El 90 Total - Over 225 calls (233) From 86 I.- Total - Over 120 calls (128) From - 42
EFTA01699906
ENTICEMENT Title •I8 USC 2422(14 -.—.... ____ ._ . ._ _ . . . .. 8 9 Interstate Commerce Connection Telephone Records Telephone Records i Telephone Records Telephone Records Under 18 at time of sexual activity YES - 17 YES -14 YES -15 YES - 15 YES -17 YES -16 10 Advised if asked to state they
EFTA01702617
s/By whom? No 26 Gifts NO 27 Physical Evidence (i.e. Message Pads, Trash Pulls, Search Warrant, Payment Documentation, etc.) Testimony . Telephone Records Message pads - ',lash Report - 28 Counts 29 TRAVEL Title 18 USC 2423(b) Dates of Travel/Aircraft I 30 31 32 TRANSPORTATION Title 18 USC
EFTA01713727
imes • 3-4 times More than 10 8 ENTICEMENT Title 18 USC 2422(W_ Interstate Commerce .Telephone Connection 9 records Number unidentified 2 Telephone Records 10 Phone calls with From' - 60 Total - Approx 100 (104) From,- 31 Total - prox 70 11 Phone call " 0 0 12 Phone calls • 2 Total - 7
EFTA01731290
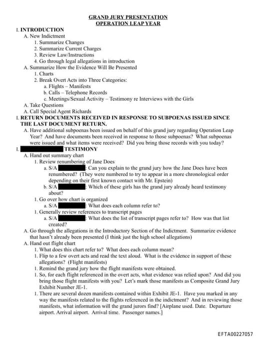
tion B. Summarize How the Evidence Will Be Presented 1. Charts 2. Break Overt Acts into Three Categories: a. Flights — Manifests b. Calls — Telephone Records c. Meetings/Sexual Activity — Testimony re Interviews with the Girls C. Take Questions D. Call Special Agent II. RETURN DOCUMENTS RECEIVED I

Jeffrey Epstein
PersonAmerican sex offender and financier (1953–2019)
Jane Doe
PersonPseudonym for anonymous victims/witnesses in Epstein legal proceedings

Virginia Giuffre
PersonAdvocate for sex trafficking victims (1983–2025)
Trash Pulls
OrganizationOrganization referenced in documents

David Copperfield
PersonAmerican illusionist, one of the most commercially successful magicians in history, appeared in Epstein documents
Interstate Commerce
OrganizationOrganization referenced in documents
Message Pads
PersonPerson referenced in documents

Cancun
LocationCity of Quintana Roo, Mexico

Western Union
OrganizationAmerican financial services and communications company

Hyperion
OrganizationPrivate aviation company associated with Epstein
Travel/Aircraft
OrganizationOrganization referenced in documents

Palm Beach
LocationTown in Palm Beach County, Florida, United States
Palm Beach PD report-
LocationLocation referenced in documents

Joi Ito
PersonJapanese-American activist, entrepreneur, and venture capitalist
Lake Worth HS
LocationLocation referenced in documents
Topless
PersonName reference in documents

Ghislaine Maxwell
PersonBritish socialite and sex trafficker, daughter of Robert Maxwell, accomplice of Jeffrey Epstein

Wilbur Ross
PersonUnited States 39th Secretary of Commerce

U.S. Virgin Islands
LocationUnincorporated territory of the United States of America
Nadia Marcinkova
PersonCommercial pilot and flying instructor